A pilot study assessing the effect of prolonged administration of high daily doses of vitamin D on the clinical course of vitiligo and psoriasis
Dermato-Endorcrinology January/February/March 2013 Volume 5, Issue 1
Danilo C. Finamor,1; Rita Sinigaglia-Coimbra,1; Luiz C.M. Neves,2; Marcia Gutierrez,3; Jeferson J. Silva,1; Lucas D. torres,1; Fernanda Surano, 1; Domingos J. Neto,5; Neil F. Novo, 6; Yara Juliano,6; Antonio C. Lopes 4; and Cicero Galli Coimbra 1 coimbracg.nexp at epm.br
1 Laboratório de Fisiopatologia Clínica e Experimental; Universidade Federal de São paulo; São paulo, Brazil;
2 Instituto de Ciências da Saúde; Universidade paulista; São paulo, Brazil;
3 Farmácia Sensitiva; São paulo, Brazil;
4 Disciplina de Clínica Médica; Universidade Federal de São paulo; São paulo, Brazil;
5 Hospital Heliópolis; São paulo, Brazil;
6 Disciplina de Cirurgia plástica; Universidade Federal de São paulo; São paulo, Brazil
Autoimmunity has been associated with vitamin D deficiency and resistance, with gene polymorphisms related to vitamin D metabolism frequently described in affected patients. High doses of vitamin D3 may conceivably compensate for inherited resistance to its biological effects. This study aimed to assess the efficacy and safety of prolonged high-dose vitamin D3 treatment of patients with psoriasis and vitiligo. Nine patients with psoriasis and 16 patients with vitiligo received vitamin D3 35,000 IU once daily for six months in association with a low-calcium diet (avoiding dairy products and calcium-enriched foods like oat, rice or soya “milk”) and hydration (minimum 2.5 L daily).
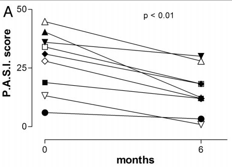
All psoriasis patients were scored according to “Psoriasis Area and Severity Index” (PASI) at baseline and after treatment.
Evaluation of clinical response of vitiligo patients required a quartile grading scale.
All patients presented low vitamin D status (serum 25(OH)D3 ≤ 30 ng/mL) at baseline.
After treatment 25(OH)D3 levels significantly increased (from 14.9 ± 7.4 to 106.3 ± 31.9 ng/mL and from 18.4 ± 8.9 to 132.5 ± 37.0 ng/mL) and PTH levels significantly decreased (from 57.8 ± 16.7 to 28.9 ± 8.2 pg/mL and from 55.3 ± 25.0 to 25.4 ± 10.7 pg/mL) in patients with psoriasis and vitiligo respectively. PTH and 25(OH)D3 serum concentrations correlated inversely. The PASI score significantly improved in all nine patients with psoriasis. Fourteen of 16 patients with vitiligo had 25–75% repigmentation. Serum urea, creatinine and calcium (total and ionized) did not change and urinary calcium excretion increased within the normal range. High-dose vitamin D3 therapy may be effective and safe for vitiligo and psoriasis patients.
Vitiligo results clipped from PDF
Two out of 16 vitiligo patients showed no repigmentation of the affected areas;
four patients showed 1–25% repigmentation,
five patients showed 26–50% repigmentation,
five patients showed 51–75% repigmentation and
none showed more than 75% repigmentation of the affected areas
PDF is attached at the bottom of this page
Psoriasis in VitaminDWiki
Some of the- Psoriasis is most strongly associated with low vitamin D (15 things were evaluated) – July 2022
- Long-term Psoriasis cured by 30,000 to 60,000 IU of Vitamin D daily (pictures and video) – early 2022
- Psoriasis paradigm shift – use topicals, like Vitamin D – Aug 2021
- Low Vitamin D plus psoriasis equals 8 times more likely to die – Dec 2020
- UV has treated psoriasis for over a century, guidelines finally agreed upon – Aug 2019
- Psoriasis severity associated with low vitamin D (10 studies) – meta-analysis Jan 2018
- Psoriasis reduced for those getting Vitamin D levels above 50 ng – RCT Feb 2018
- 35,000 IU vitamin D daily for 6 months helped ALL psoriasis suffers (106 ng) – Brazil March 2013
| 81551 visitors, last modified 31 Jul, 2023, |
| ID | Name | Uploaded | Size | Downloads | |
|---|---|---|---|---|---|
| 3611 | Vitiligo.jpg | admin 12 Feb, 2014 | 70.30 Kb | 89545 | |
| 3237 | Before After.jpg | admin 10 Nov, 2013 | 81.42 Kb | 104257 | |
| 3236 | PASI.jpg | admin 10 Nov, 2013 | 25.10 Kb | 49615 | |
| 3235 | Massive doses.pdf | admin 10 Nov, 2013 | 1.89 Mb | 3130 |