Low Levels of Vitamin D Linked to Teen Delusions, Hallucinations FoxNews
A group of researchers led by Dr. Barbara L. Gracious, a psychiatrist at Nationwide Children’s Hospital in Columbus, Ohio, presented data at that meeting showing that adolescents who were vitamin D deficient showed a fourfold (400 percent) increased rate of psychotic symptoms, compared to other adolescents with normal vitamin D levels who sought psychiatric treatment at the University of Rochester, in New York.
Vitamin D deficiency and psychotic features in mentally ill adolescents: a cross-sectional study.
BMC Psychiatry. 2012 May 9;12:38. doi: 10.1186/1471-244X-12-38.
Gracious BL, Finucane TL, Friedman-Campbell M, Messing S, Parkhurst MN.
Center for Innovation in Pediatric Practice, The Research Institute at Nationwide Children's Hospital and The Ohio State University, Columbus, OH 43205, USA. Barbara.gracious at nationwidechildrens.org
BACKGROUND: Vitamin D deficiency is a re-emerging epidemic, especially in minority populations. Vitamin D is crucial not only for bone health but for proper brain development and functioning. Low levels of vitamin D are associated with depression, seasonal affective disorder, and schizophrenia in adults, but little is known about vitamin D and mental health in the pediatric population.
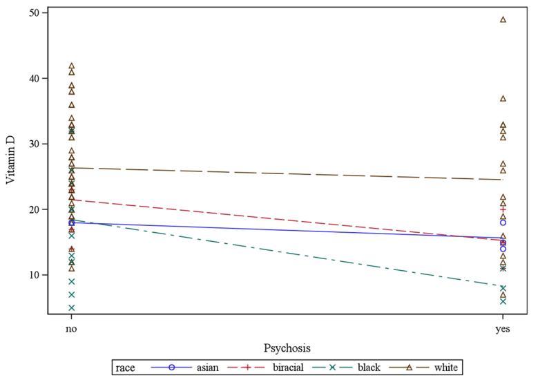
METHODS: One hundred four adolescents presenting for acute mental health treatment over a 16-month period were assessed for vitamin D status and the relationship of 25-OH vitamin D levels to severity of illness, defined by presence of psychotic features.
RESULTS: Vitamin D deficiency (25-OH D levels <20 ng/ml) was present in 34%; vitamin D insufficiency (25-OH D levels 20-30 ng/ml) was present in 38%, with a remaining 28% in the normal range.
Adolescents with psychotic features had lower vitamin D levels (20.4 ng/ml vs. 24.7 ng/ml; p=0.04, 1 df).
The association for vitamin D deficiency and psychotic features was substantial (OR 3.5; 95% CI 1.4-8.9; p <0.009). Race was independently associated with vitamin D deficiency and independently associated with psychosis for those who were Asian or biracial vs. white (OR=3.8; 95% CI 1.1‒13.4; p<0.04). Race was no longer associated with psychosis when the results were adjusted for vitamin D level.
CONCLUSIONS: Vitamin D deficiency and insufficiency are both highly prevalent in adolescents with severe mental illness. The preliminary associations between vitamin D deficiency and presence of psychotic features warrant further investigation as to whether vitamin D deficiency is a mediator of illness severity, result of illness severity, or both. Higher prevalence of vitamin D deficiency but no greater risk of psychosis in African Americans, if confirmed, may have special implications for health disparity and treatment outcome research.
PMID: 22571731
PDF is attached at the bottom of this page
See also VitaminDWiki
- Mental Illness and Vitamin D
- Teens no longer depressed after vitamin D raised to 36 ng – Feb 2012
- All items in category Winter Blues/Depression and Vitamin D
279 items - Search Psychosis in VitaminDWIki 62 items Oct 2013
- First episode psychosis associated with a 33 percent lower vitamin D in 3 races – Sept 2013
Psychiatric disorders 4X more likely in teens if low vitamin D - Nov 2011Printer Friendly Follow this page for updates11443 visitors, last modified 15 Oct, 2013, This page is in the following categories (# of items in each category)Attached files
ID Name Uploaded Size Downloads 2008 Mental F3.jpg admin 25 Jan, 2013 28.55 Kb 1821 2007 Mental F2.jpg admin 25 Jan, 2013 11.88 Kb 875 2006 Mental Illness.pdf admin 25 Jan, 2013 419.34 Kb 1355