Glutathione decreases with age


Perplexity AI - June 2025

Glutathione levels decrease with age primarily due to a combination of reduced synthesis and increased oxidative stress. The synthesis of glutathione—a key intracellular antioxidant—relies on the availability of its precursor amino acids, especially cysteine and glycine. As people age, the body's ability to supply these precursors declines, leading to a marked reduction in glutathione synthesis 1 2 5.

Several underlying mechanisms contribute to this decline:

  • Decreased Amino Acid Availability: Aging is associated with slower protein turnover and decreased de novo synthesis of nonessential amino acids, which limits the supply of cysteine and glycine needed for glutathione production 1.
  • Reduced Enzyme Activity: The activity of enzymes critical for glutathione synthesis, such as γ-glutamylcysteine synthetase (GCS), is diminished with age. This further reduces the capacity for de novo glutathione synthesis 2.
  • Increased Oxidative Stress: Aging leads to elevated production of reactive oxygen species (ROS), which not only increases the demand for glutathione but may also accelerate its consumption and oxidation, resulting in lower levels of reduced glutathione (GSH) and an increased ratio of its oxidized form (GSSG) 2 3 7.
  • Other Contributing Factors: Chronic diseases, environmental toxins, poor diet, and certain medications can also deplete glutathione, compounding the age-related decline 5.

Research has shown that supplementing elderly individuals with cysteine and glycine can restore glutathione synthesis and concentrations to levels seen in younger adults, highlighting the importance of precursor availability 1. These findings suggest that the primary cause of glutathione deficiency in aging is a diminished rate of synthesis, driven by a reduced supply of its building blocks, rather than an inherent loss of synthetic capacity 1 2.
Citations

  1. https://pmc.ncbi.nlm.nih.gov/articles/PMC3155927/
  2. https://pmc.ncbi.nlm.nih.gov/articles/PMC1868496/
  3. https://www.sciencedirect.com/science/article/pii/S2213158223001948
  4. https://www.mdpi.com/1420-3049/27/1/324
  5. https://www.drlafollette.com/what-is-glutathione-and-why-is-it-so-important-for-your-overall-health/
  6. https://www.sciencedirect.com/science/article/abs/pii/S0891584916000435
  7. https://www.biorxiv.org/content/10.1101/2023.08.13.553100v1.full-text
  8. https://www.pharmacist.com/Blogs/CEO-Blog/glutathione-to-reverse-aging
  9. https://www.ifm.org/news-insights/hot-topic-precursors-of-glutathione-may-improve-age-associated-cognitive-decline-muscle-strength/

Sample Charts

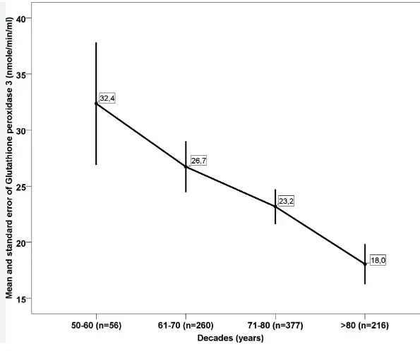
From 2013
Image

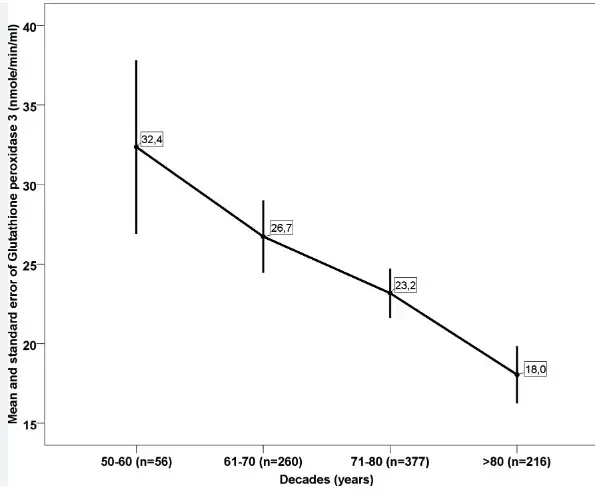
From 2016
Image


See also Glutathione in VitaminDWiki

Glutathione decreases with age        
520 visitors, last modified 03 Jun, 2025,
(Cached) Printer Friendly Follow this page for updates

Attached files

ID Name Comment Uploaded Size Downloads
22700 Decline 2.webp admin 02 Jun, 2025 8.10 Kb 76
22699 Glut decrease with age.png admin 02 Jun, 2025 38.54 Kb 78