Restless Legs Syndrome - Vitamin D, Iron, etc. - many studies
RLS has been treated by Iron, Magnesium, and Vitamin D
Perhaps a combination would work better than any single one
RLS review by Perplexity AI Jan 2025
Restless Legs Syndrome appears to be treated by at least Vitamin D, Vitamin K, Iron and Magnesium.
Are there others? Which is best? Is there some combination which is best?
Based on the available evidence, several vitamins and minerals have been studied
for treating Restless Legs Syndrome (RLS), with varying levels of effectiveness:
Proven Effective Supplements
Iron
Most strongly supported by research for RLS treatment
Particularly effective when ferritin levels are ≤75 μg/L 6
Should be taken with vitamin C for better absorption 6
Iron therapy shows significant improvement in RLS symptoms compared to placebo in iron-deficient patients 4
Vitamins C and E
Demonstrated significant effectiveness both alone and in combination 7
Particularly beneficial for hemodialysis patients with RLS 7
Standard dosage: Vitamin C (200 mg) and Vitamin E (400 mg) 6
Other Supplements with Limited Evidence
Magnesium
May help with RLS symptoms when combined with vitamin B6 8
Evidence remains inconclusive for magnesium alone 40
Vitamin B Complex
Vitamin B6 shows promise when combined with magnesium 8
Limited evidence for B12 effectiveness 40
Vitamin D
Despite high prevalence of vitamin D deficiency in RLS patients, supplementation has not shown significant benefits 8
Best Approach
The most effective supplementation strategy appears to be:
Iron supplementation (with vitamin C) if ferritin levels are low 15
Combined vitamin C and E supplementation as a secondary approach 7
Consider magnesium with vitamin B6 as an additional support 8
It's important to note that supplement effectiveness varies by individual and underlying conditions.
Blood tests should be conducted to identify specific deficiencies before starting supplementation 15
Always consult with a healthcare provider before starting any supplement regimen,
as excessive amounts of certain nutrients can be harmful 40
12+ VitaminDWiki pages with RESTLESS LEG etc., in the title
This list is automatically updated
{LIST()}
People with RLS often benefit from Magnesium and/or Iron (see bottom of this page)
VitaminDWiki expects RLS might be eliminated if higher vitamin D levels were achieved combined with Magnesium/Iron.
Cartoon from the web

RLS treated by Iron, Magnesium, Vitamin D, etc. - March 2025
Risk of RLS increased by 25 drugs (such as ibuprofen/Advil) - April 2025
Suspect the drugs reduce one of more of the nutrients needed to stop RLS
RLS treatments include Magnesium + B6, Iron, exercise, and Vitamin D - July 2025
"The Cleveland Clinic estimates that around 7% to 10% of Americans have RLS"
RLS: genes and glutamate - meta-analysis June 2024
Genome-wide meta-analyses of restless legs syndrome yield insights into genetic architecture, disease biology and risk prediction
Nature Genetics volume 56, pages1090–1099 (2024) https://doi.org/10.1038/s41588-024-01763-1
Barbara Schormair, Chen Zhao, Steven Bell, Maria Didriksen, Muhammad S. Nawaz, Nathalie Schandra, Ambra Stefani, Birgit Högl, Yves Dauvilliers, Cornelius G. Bachmann, David Kemlink, Karel Sonka, Walter Paulus, Claudia Trenkwalder, Wolfgang H. Oertel, Magdolna Hornyak, Maris Teder-Laving, Andres Metspalu, Georgios M. Hadjigeorgiou, Olli Polo, Ingo Fietze, Owen A. Ross, Zbigniew K. Wszolek, Abubaker Ibrahim, 23andMe Research Team, D.E.S.I.R. study group, …Juliane Winkelmann Show authors
Restless legs syndrome (RLS) affects up to 10% of older adults. Their healthcare is impeded by delayed diagnosis and insufficient treatment. To advance disease prediction and find new entry points for therapy, we performed meta-analyses of genome-wide association studies in 116,647 individuals with RLS (cases) and 1,546,466 controls of European ancestry. The pooled analysis increased the number of risk loci eightfold to 164, including three on chromosome X. Sex-specific meta-analyses revealed largely overlapping genetic predispositions of the sexes (rg = 0.96). Locus annotation prioritized druggable genes such as glutamate receptors 1 and 4, and Mendelian randomization indicated RLS as a causal risk factor for diabetes. Machine learning approaches combining genetic and nongenetic information performed best in risk prediction (area under the curve (AUC) = 0.82–0.91). In summary, we identified targets for drug development and repurposing, prioritized potential causal relationships between RLS and relevant comorbidities and risk factors for follow-up and provided evidence that nonlinear interactions are likely relevant to RLS risk prediction.
📄 Download the PDF from VitaminDWiki
See also: Anti-oxidants and Long-Covid (Mg, Glutamate, Butyrate, etc) – Sept 2022
Vitamin D and Restless Legs Syndrome: A Review of Current Literature - April 2023
Tremor Other Hyperkinet Mov (N Y). 2023; 13: 12. doi: 10.5334/tohm.741
Katie L. J. Cederberg, PhD,1 Rosalia Silvestri, MD,2 and Arthur S. Walters, MD3

This review presents a detailed summary of the current literature regarding RLS and vitamin D deficiency. To our knowledge it is the first review of its kind. We review the prevalence of vitamin D deficiency in RLS as well as the evidence for the use of vitamin D supplementation in RLS management. We further examine the literature for proteomic and genetic evidence of a role for vitamin D in the pathogenesis of RLS. An alteration in vitamin D binding protein in RLS is one of the most consistent findings in the proteomic studies. Furthermore, we examine the interaction of vitamin D with calcium, phosphorus, and parathyroid hormone and the possible role of these connections in RLS. We also explore the possible nexus between RLS and vitamin D in renal disease, cardiovascular and cerebrovascular disease as well as inflammation. In addition, we review the potential interaction between vitamin D and RLS with iron, dopamine and other neurotransmitter systems including the endogenous opiate, serotoninergic, glutamatergic and adenosinergic systems. We also explore the role of vitamin D in RLS Augmentation (i.e., the paradoxical worsening of RLS symptoms when dopaminergic agents are used as a therapy for RLS). Although the literature is not entirely consistent in affirming vitamin D deficiency in RLS or the amelioration of RLS symptoms with vitamin D therapy, the collective studies overall indicate that vitamin D deficiency is common enough in RLS patients to suggest that RLS patients should have their vitamin D levels checked and any deficiency corrected as a standard of care.
📄 Download the PDF from VitaminDWiki
RLS associated with low vitamin D, The more severe the RLS, the lower the D - Dec 2021

📄 Download the PDF from VitaminDWiki
RLS treated by weekly 50,000 IU of vitamin D - Feb 2020
The Effect of Vitamin D on Restless Legs Syndrome: Prospective Self-Controlled Case Study
Sleep Breath, 2020 Feb 20, DOI: 10.1007/s11325-019-01984-3
Mesude Tutuncu 1, Melih Tutuncu 2
Purpose: To evaluate the effect of vitamin D on the severity of restless legs syndrome in patients with idiopathic restless legs syndrome (RLS).
Methods: Patients with idiopathic RLS completed questionnaires, including the International Restless Legs Severity Scale (IRLSS), and were evaluated for vitamin D deficiency. Patients with vitamin D deficiency were treated with 50,000 units per week for 2 months. At the end of the 2 months, vitamin D levels were re-measured, and disease severity was re-evaluated in patients who reached adequate vitamin D levels. Subgroups of the IRLSS questionnaire were also analyzed.
Results: Of 35 patients enrolled, 21 (60%) had vitamin D deficiency and received vitamin D therapy. In 2 patients, vitamin D levels did not rise to sufficient levels with supplementation, and these 2 patients were excluded from analysis. The remaining 19 patients showed
vitamin D levels increased from 13.2 ± 4.0 to 42.8 ± 9.6 ng/mL while
IRLSS improved from 24.9 ± 5.1 to 21.1 ± 2.9 points (p <0.001).
Selected subscores of the IRLSS were also improved, including
symptom severity (p <0.001),
impact on sleep (p <0.001),
symptom measures (p =0.002), and
disease impact measures (p <0.001).
There were trends toward improvement in subscores of frequency (p =0.11) and mood (p =0.051).
Conclusions: The findings suggest that vitamin D levels should be evaluated in patients with RLS, and if vitamin D deficiency is revealed, consideration should be given to replacement therapy
RLS 3 X more likely if < 20 ng/mL of Vitamin D (8X if a teacher) – March 2018
The Association Between Vitamin D Level and Restless Legs Syndrome: A Population-Based Case-Control Study.
J Clin Sleep Med. 2018 Mar 30. pii: jc-17-00496.
Wali S, Alsafadi S, Abaalkhail B, Ramadan I, Abulhamail B, Kousa M, Alshamrani R, Faruqui H, Faruqui A, Alama M, Hamed M.
STUDY OBJECTIVES: The pathophysiology of restless legs syndrome (RLS) may be related to abnormalities in central dopamine pathways. Vitamin D may play a role in the pathophysiology of RLS by modulating the dopaminergic system. The aim of our study is to examine the possible link between RLS and vitamin D deficiency.
METHODS: The total number of subjects enrolled was 201, including 78 patients with RLS based on the International RLS Study Group (IRLSSG) diagnostic criteria and 123 controls. Serum 25-hydroxy vitamin D levels were measured in both groups. The IRLSSG symptom severity rating scale assessed RLS severity in all cases.
RESULTS: Fifty-nine patients with RLS (75.6%) and 52 controls (42.3%) had a diagnosis of vitamin D deficiency, P< .001. The odds ratio (OR) of the development of RLS was 4.24 for those with a vitamin D level < 50 nmol/L compared to those with a vitamin D level ≥ 50 nmol/L (P< .001, 95% confidence interval [CI] 2.3-7.9).
After adjusting for all other significant factors in the multivariate logistic model, vitamin D was significantly associated with RLS (OR 3.1, P< .002, 95% CI 1.51-6.38).
Moreover, a dark or black skin color (OR 3.4, P< .001, 95% CI 1.5-6.3) and working as a teacher (OR 8.8, P< .001, 95% CI 3.4-23.5) were also independently significantly associated with RLS.
CONCLUSIONS: Our study identified an association between vitamin D deficiency and RLS. Consequently, vitamin D deficiency should be considered in the management of RLS. However, further studies are needed to evaluate the causality relationship between vitamin D levels and RLS.
📄 Download the PDF from VitaminDWiki
RLS associated with many other Vitamin D Deficiency diseases - July 2017
Restless Legs Syndrome, the Pitfall: Hardly Diagnosed and Rarely Treated Neurological Disease
Vishal ChavdaVishal ChavdaSnehal S PatelSnehal S Patel
📄 Download the PDF from VitaminDWiki

Associated with many other Vitamin D Deficiency Diseases

Restless legs syndrome is a chronic progressive sleep-associated sensory-motor disorder that develops within neurological disorders like Parkinsonism, Neuropathy pain, and possible dementia. The global prevalence of restless legs syndrome is increasing daily, and research studies have reported the essential need for research in specific diagnosis and treatment of restless legs syndrome. Restless legs syndrome is more prevalent in females and pregnant women than men in almost the world. In India and many other countries of Asia and throughout the world, the term Restless legs syndrome (RLS) is still a questionnaire. It is reported many a time by Physicians, Neurologists, and Gynecologists as a mal-diagnosis of Restless legs syndrome in India and in other countries also. The exact pathophysiology of the RLS is still unclear, but some superficial assumptions regarding the progressions of disease and the root of disease through the gene molecular concepts. Few Traditional Chinese medicine and allopathic medicine have been reported as successful treatment of RLS, but it is either symptomatic or depends on time management. Dopamine Agonists and opioids are possible symptomatic treatments for RLS, but no treatment is available if it has entered a severe stage of RLS. Relations to the lower cerebral ferric and Dopamine levels are probably...
Restless legs syndrome associated with (a few) major diseases -A systematic review and new concept - April 2016
Neurology 86 DOI: https://doi.org/10.1212/WNL.0000000000002542
Claudia Trenkwalder, Richard Allen, Birgit Högl, Walter Paulus, Juliane Winkelmann
Recent publications on both the genetics and environmental factors of restless legs syndrome (RLS), defined as a clinical disorder, suggest that overlapping genetic risk factors may play a role in primary (idiopathic) and secondary (symptomatic) RLS. Following a systematic literature search of RLS associated with comorbidities, we identified only an increased prevalence of RLS in iron deficiency and kidney disease.
In
cardiovascular disease,
arterial hypertension,
diabetes,
migraine, and
Parkinson disease
the methodology of the studies was poor, but an association might be possible .
There is insufficient evidence for conditions such as anemia (without iron deficiency), chronic obstructive pulmonary disease, multiple sclerosis, headache, stroke, narcolepsy, and ataxias. Based on possible gene–microenvironmental interaction, the classifications primary and secondary RLS may suggest an inappropriate causal relation. We recognize that in some conditions, treatment of the underlying disease should be achieved as far as possible to reduce or eliminate RLS symptoms. RLS might be seen as a continuous spectrum with a major genetic contribution at one end and a major environmental or comorbid disease contribution at the other.
RLS score dropped from 26 to 10 after Vitamin D levels were raised to just 25 ng - Aug 2014
The effect of vitamin D supplements on the severity of restless legs syndrome
Sleep Breath. 2014 Aug 23. https://doi.org/10.1007/s11325-014-1049-y
Wali S1, Shukr A, Boudal A, Alsaiari A, Krayem A.
1Sleep Medicine and Research Center, King Abdulaziz University, Jeddah, Saudi Arabia, sowali@kau.edu.sa.
PURPOSE:
Clinical observation hinted at improved symptoms of restless legs syndrome (RLS) after vitamin D supplements. Hence, the aim of this study is to evaluate the effect of vitamin D supplementation on the severity of RLS symptoms.
METHODS:
Twelve adult subjects diagnosed with primary RLS and vitamin D deficiency were recruited. Patients with secondary RLS were excluded from this study. The complete cell count; serum levels of ferritin, iron, glycated hemoglobin, and vitamin D3 (25 (OH) vitamin D); and renal and bone profiles of the patients were assayed. Patients with vitamin D deficiency (<50 nmol/l) were treated with vitamin D3 supplements (high oral dose or intramuscular injection) . The severity scores of RLS were reassessed after the vitamin D3 level was corrected to >50 nmol/l and compared with those before the administration of the supplements.
RESULTS:
The median pretreatment vitamin D level was 21.7 nmol/l (13.45-57.4), which improved to 61.8 nmol/l (42.58-95.9) (P = 0.002) with the treatment. The median RLS severity score improved significantly from 26 (15-35) at baseline to 10 (0-27) after correction of the vitamin D levels (P = 0.002).
CONCLUSION:
This study indicates that vitamin D supplementation improves the severity of RLS symptoms and advocates that vitamin D deficiency is conceivably associated with RLS.
📄 Download the PDF from VitaminDWiki
Vitamin D was given to 12 adults with Restless Legs Syndrome
Dosing was 8,000 IU liquid vitamin D/week OR 200,000 IU injection/ month
RLS scores decreased dramatically from 26 down to 10
RLS Scoring is attached at the bottom of this page: 40 = worst to 0 = none
Vitamin D levels went from 9 ng/mL to 25 ng/mL (trial lasted until each patient got > 20 ng: 3-8 months)
References
Ohayon MM, O'Hara R, Vitiello MV (2012) Epidemiology of restless legs syndrome: a synthesis of the literature. Sleep Med Rev 16:283–295 CrossRef
Phillips B, Young T, Finn L, Asher K, Hening WA, Purvis C (2000) Epidemiology of restless legs symptoms in adults. Arch Intern Med 160:2137–2141 CrossRef
Berger K, Luedemann J, Trenkwalder C, John U, Kessler C (2004) Sex and the risk of restless legs syndrome in the general population. Arch Intern Med 164:196 CrossRef
Ibia M, Sawadab H, Nakanishi M, Kumea T, Katsukia H, Kanekoc S, Shimohamab S, Akaikea A (2001) Protective effects of 1,25-(OH)2D3 against the neurotoxicity of glutamate and reactive oxygen species in mesencephalic culture. Neuropharmacology 40:761–771 CrossRef
Prakash S, Bhanvadia RJ, Shah ND (2010) Restless legs syndrome with carbamazepine-induced osteomalacia: causal or casual association. Gen Hosp Psychiatry 32(2):228
Allen RP, Picchietti D, Hening WA, Trenkwalder C, Walters AS, Montplaisi J (2003) Restless legs syndrome: diagnostic criteria, special considerations, and epidemiology. A report from the restless legs syndrome diagnosis and epidemiology workshop at the National Institutes of Health. Sleep Med 4(2):101–119 CrossRef
Walters AS, LeBrocq C, Dhar A, Hening W, Rosen R, Allen RP, Trenkwalder C, International Restless Legs Syndrome Study Group (2003) Validation of the International Restless Legs Syndrome Study Group rating scale for restless legs syndrome. Sleep Med 4:121–132 CrossRef
Abetz L, Arbuckle R, Allen RP, Garcia-Borreguero D, Hening W, Walters AS, Mavraki E, Kirsch JM (2006) The reliability, validity, and responsiveness of the International Restless Legs Syndrome Study Group rating scale and subscales in a clinical-trial setting. Sleep Med 7(4):340–349 CrossRef
Alsuwadia AO, Farag YM, Al Sayyari AA, Mousa DH, Alhejaili FF, Al-Harbi AS, Housawi AA, Mittal BV, Singh AK (2013) Prevalence of vitamin D deficiency in Saudi adults. Saudi Med J 34(8):814–818
BaHammam A, Al-shahrani K, Al-zahrani S, Al-shammari A, Al-amri N, Sharif M (2011) The prevalence of restless legs syndrome in adult Saudis attending primary health care. Gen Hosp Psychiatry 33(2):102–106 CrossRef
Balaban H, Yıldız ÖK, Çil G, Şentürk İA, Erselcan T, Bolayır E, Topaktaş S (2012) Serum 25- hydroxyvitamin D levels in restless legs syndrome patients. Sleep Med 13(7):953–957 CrossRef
Allen RP, Earley CJ (2007) The role of iron in restless legs syndrome. MovDisord 22(18):440–448
Zucconi M, Manconi M (2008) Sleep and quality of life in restless legs syndrome. In: Verster JC, Pandi-Perumal SR, Streiner D (eds) Sleep and quality of life in clinical medicine. Humana Press, Totowa, NJ
Manconi M, Ferri R, Zucconi M, Clemens S, Giarolli L, Bottasini V, Ferini-Strambi L (2011) Preferential D2 or preferential D3 dopamine agonists in restless legs syndrome. Neurology 77(2):110–117 CrossRef
Walters AS, Rye DB (2009) Review of the relationship of restless legs syndrome and periodic limb movements in sleep to hypertension, heart disease, and stroke. Sleep 32(5):589–597
Meguro S, Tomita M, Katsuki T, Kato K, Oh H, Ainai A, Ito R, Takeda S, Kawai T, Atsumi Y, Itoh H, Hasegawa H (2011) Plasma 25- hydroxyvitamin D is independently associated with hemoglobin concentration in male subjects with type 2 diabetes mellitus. Int J Endocrinol 362981:5. doi:10.1155/2011
Abou-Raya S, Helmii M, Abou-Raya A (2009) Bone and mineral metabolism in older adults with Parkinson’s disease. Age Ageing 38(6):675–680 CrossRef
Evatt ML, Delong MR, Khazai N, Rosen A, Triche S, Tangpricha V (2008) Prevalence of vitamin D insufficiency in patients with Parkinson's disease and Alzheimer's disease. Arch Neurol 65(10):1348–1352
Cui X, Pelekanos M, Liu PY, Burne TH, McGrath JJ, Eyles DW (2013) The vitamin D receptor in dopamine neurons; its presence in human substantia nigra and its ontogenesis in rat midbrain. Neuroscience 236:77–87 CrossRef
Newmark HL, Newmark J (2007) Vitamin D and Parkinson’s disease—a hypothesis. Mov Disord 22(4):461–468 CrossRef
Danielle ED, Lydia MM, Natalie LC, Jeanne EM, Mahlon RD, Kurt DP, Jonathan AD, Tangpricha V, Gary WM, Marian LE (2012) 25-Hydroxyvitamin D depletion does not exacerbate MPTP-induced dopamine neuron damage in mice. PLoS ONE 7(7):e39227 CrossRef
Garcia-Borreguero D, Kohnen R, Boothby L, Tzonova D, Larrosa O, Dunkl E (2013) Validation of the multiple suggested immobilization test: a test for the assessment of the severity of restless legs syndrome (Willis-Ekbom disease). Sleep 36(7):1101–1109
Restless Legs Syndrome 5X more likely if vitamin D deficient - May 2014
Possible association between vitamin D deficiency and restless legs syndrome
Neuropsychiatr Dis Treat. 2014 May 21;10:953-8. Doi 10.2147/NDT.S63599. eCollection 2014.
Oran M1, Unsal C2, Albayrak Y2, Tulubas F3, Oguz K4, Avci O1, Turgut N4, Alp R4, Gurel A3.
BACKGROUND AND AIM:
Restless legs syndrome (RLS) is a distressing sleep disorder that occurs worldwide. Although there have been recent developments in understanding the pathophysiology of RLS, the exact mechanism of the disease has not been well elucidated. An increased prevalence of neurologic and psychiatric diseases involving dopaminergic dysfunction in vitamin D-deficient patients led us to hypothesize that vitamin D deficiency might result in dopaminergic dysfunction and, consequently, the development of RLS (in which dopaminergic dysfunction plays a pivotal role). Thus, the aim of this study was to evaluate the relationship between vitamin D deficiency and RLS.
METHODS:
One hundred and fifty-five consecutive patients, 18-65 years of age, who were admitted to the Department of Internal Medicine with musculoskeletal symptoms and who subsequently underwent neurological and electromyography (EMG) examination by the same senior neurologist, were included in this study. The patients were divided into two groups according to serum 25-hydroxyvitamin D (25(OH)D) (a vitamin D metabolite used as a measure of vitamin D status) level: 36 patients with serum 25(OH)D levels ≥20 ng/mL comprised the normal vitamin D group, and 119 patients with serum 25(OH)D levels <20 ng/mL comprised the vitamin D deficiency group. The two groups were compared for the presence of RLS and associated factors.
RESULTS:
The two groups were similar in terms of mean age, sex, mean body mass index (BMI), and serum levels of calcium, phosphate, alkaline phosphatase (ALP), and ferritin. The presence of RLS was significantly higher in the vitamin D deficiency group (χ (2)=12.87, P<0.001). Regression analysis showed vitamin D deficiency and serum 25(OH)D level to be significantly associated with the presence of RLS (odds ratio [OR] 5.085 , P<0.001 and OR 1.047, P=0.006, respectively).
CONCLUSION:
The present study demonstrated a possible association between vitamin D deficiency and RLS. Given the dopaminergic effects of vitamin D, 25(OH)D depletion may lead to dopaminergic dysfunction and may have a place in the etiology of RLS. Prospective vitamin D treatment studies are needed to confirm this relationship and to evaluate the efficacy of vitamin D as a treatment for RLS patients.
📄 Download the PDF from VitaminDWiki
Sleep Apnea solutions may apply also to RLS (Vitamins D and B, good gut)
Sleep Apnea and Vitamin D - many studies
See also VitaminDWiki - Essential Tremor
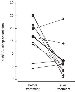
Magnesium reduced RLS - 1998
Magnesium therapy for periodic leg movements-related insomnia and restless legs syndrome: an open pilot study.
Sleep. 1998 Aug 1;21(5):501-5.
Hornyak M1, Voderholzer U, Hohagen F, Berger M, Riemann D.
Periodic limb movements during sleep (PLMS), with or without symptoms of a restless legs syndrome (RLS), may cause sleep disturbances. The pharmacologic treatments of choice are dopaminergic drugs. Their use, however, may be limited due to tolerance development or rebound phenomena. Anecdotal observations have shown that oral magnesium therapy may ameliorate symptoms in patients with moderate RLS. We report on an open clinical and polysomnographic study in 10 patients (mean age 57 +/- 9 years; 6 men, 4 women) suffering from insomnia related to PLMS (n = 4) or mild-to-moderate RLS (n = 6). Magnesium was administered orally at a dose of 12.4 mmol in the evening over a period of 4-6 weeks. Following magnesium treatment, PLMS associated with arousals (PLMS-A) decreased significantly (17 +/- 7 vs 7 +/- 7 events per hour of total sleep time, p < 0.05). PLMS without arousal was also moderately reduced (PLMS per hour of total sleep time 33 +/- 16 vs 21 +/- 23, p = 0.07). Sleep efficiency improved from 75 +/- 12% to 85 +/- 8% (p < 0.01).
In the group of patients estimating their sleep and/or symptoms of RLS as improved after therapy (n = 7), the effects of magnesium on PLMS and PLMS-A were even more pronounced. Our study indicates that magnesium treatment may be a useful alternative therapy in patients with mild or moderate RLS or PLMS-related insomnia. Further investigations regarding the role of magnesium in the pathophysiology of RLS and placebo-controlled studies need to be performed.

📄 Download the PDF from VitaminDWiki
See also web
See also web - RLS and Vitamin D
Vitamin D and Restless Legs Syndrome: A Review of Current Literature - April 2023 . FREE PDF
Effects of Dietary Supplementation in Patients with Restless Legs Syndrome: A Systematic Review - July 2024 FREE PDF
Vitamin D fails to treat restless legs syndrome Nov 2017
- 50,000 IU Vitamin D for only 12 weeks - longer is needed without a loading dose. Iron and Magnesium were not mentioned
- The Association Between Vitamin D Level and Restless Legs Syndrome: A Population-Based Case-Control Study March 2018
- Risk of RLS 3.1 X higher if < 20ng of vitamin D (after adjustment)
See also web - RLS and Magnesium
- Restless Legs and Heart Disease Dr. Dean, Magnesium Jan 2018
- By the way, the admin of VitaminDWiki applies Magnesium Chloride and DMSO topically to his legs to quickly eliminate leg soreness
- The MgCl (topical and oral) also eliminated occasional twitchy (restless?) legs
Search Google for "restless legs" (magnesium OR iron) 540,000 hits in March 2018
The Link Between Magnesium and Restless Leg Syndrome Healthline March 2017
See also web - RLS and Iron
Association of low serum ferritin levels with augmentation in patients with restless legs syndrome: A systematic review and meta-analysisn - Dec 2023 PDF is behind a paywall
Treatment for Restless Legs Syndrome John Hopkins
- Many treatments, including Iron - which has been known to help RLS since the 1950s
- Restless Legs Syndrome NYT Sept 2014
- Iron is the primary oral remedy which they mention
Search Google for "restless legs" (magnesium OR iron) 540,000 hits in March 2018
Understanding Iron and Restless Legs Syndrome RLS.org, 2-page free PDF
See also web - Vitamin K
Vitamin K Supplementation Reduces Nocturnal Leg Cramps in Older Adults Reported by Medscape.Nov 2024
A 3X reduction in frequency FREE PDF
See also VitaminDWiki - Magnesium
Magnesium and Vitamin D category listing has items along with related searches
- Restless Leg Syndrome - free ebook, Magnesium 📄 Download the ebook from VitaminDWiki.
See also VitaminDWiki - Iron
Iron deficiency is a cause of Vitamin D deficiency describes extremely bio-available Iron supplements
Iron category has items along with related searches
RLS triggers - Oct 2018

Note: Smoking decreases Vitamin D, and Caffeine decreases Magnesium absorption
RLS not treated by weekly 50,000 IU of vitamin D, but was treated by placebo - RCT Nov 2018
Efficacy of vitamin D replacement therapy in restless legs syndrome: a randomized control trial.
Sleep Breath. 2018 Nov 14. doi 10.1007/s11325-018-1751-2.
Strangely, RLS decreased in the placebo group but NOT in the Vitamin D group
📄 Download the PDF from VitaminDWiki
RLS increased risk of Vascular Dementia 1.8X (suspect low D or Mg) - March 2023
Restless legs a new modifiable risk factor for dementia? MDEdge
https://alzres.biomedcentral.com/articles/10.1186/s13195-023-01191-z FREE PDF
See also Dementia is associated with low vitamin D - many studies