Overweight children associated with low vitamin D during pregnancy – 2015, 2018
The Association between Maternal 25-Hydroxyvitamin D Concentration during Gestation and Early Childhood Cardio-metabolic Outcomes: Is There Interaction with Pre-Pregnancy BMI? - 2015
PLoS One. 2015 Aug 5;10(8):e0133313. doi: 10.1371/journal.pone.0133313.
Hrudey EJ 1, Reynolds RM 2, Oostvogels AJ 1, Brouwer IA 3, Vrijkotte TG 1.
1Department of Public Health, Academic Medical Center, University of Amsterdam, 1100 DD Amsterdam, The Netherlands.
2BHF Centre for Cardiovascular Science, Queen's Medical Research Institute, University of Edinburgh, Edinburgh, United Kingdom.
3Department of Health Sciences, VU University, de Boelelaan 1085, 1081HV, Amsterdam, The Netherlands.

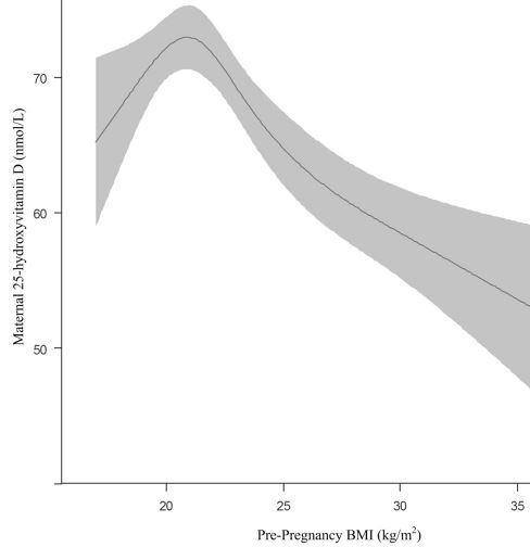
Both maternal 25-hydroxyvitamin D(25OHD) status and pre-pregnancy BMI (pBMI) may influence offspring cardio-metabolic outcomes. Lower 25OHD concentrations have been observed in women with both low and high pBMIs, but the combined influence of pBMI and 25OHD on offspring cardio-metabolic outcomes is unknown. Therefore, this study investigated the role of pBMI in the association between maternal 25OHD concentration and cardio-metabolic outcomes in 5-6 year old children. Data were obtained from the ABCD cohort study and 1882 mother-child pairs were included. The offspring outcomes investigated were systolic and diastolic blood pressure, heart rate, BMI, body fat percentage(%BF), waist-to-height ratio, total cholesterol, LDL cholesterol, HDL cholesterol, triglycerides, glucose, C-peptide, and insulin resistance(HOMA2-IR). 62% of the C-peptide samples were below the detection limit and were thus imputed using survival analysis. Models were corrected for maternal and offspring covariates and tested for interaction with pBMI. Interaction with pBMI was observed in the associations with insulin resistance markers: in offspring of overweight mothers(≥25.0kg/m2), a 10 nmol/L increase in maternal 25OHD was associated with a 0.007(99%CI:-0.01,-0.001) nmol/L decrease in C-peptide and a 0.02(99%CI:-0.03,-0.004) decrease in HOMA2-IR. When only non-imputed data were analyzed, there was a trend for interaction in the relationship but the results lost significance. Interaction with pBMI was not observed for the other outcomes.
A 10 nmol/L increase in maternal 25OHD was significantly associated with a 0.13%(99%CI:-0.3,-0.003) decrease in %BF after correction for maternal and child covariates.
Thus, intrauterine exposure to both low 25OHD and maternal overweight may be associated with increased insulin resistance in offspring, while exposure to low 25OHD in utero may be associated with increased offspring %BF with no interactive effects from pBMI . Due to the limitations of this study, these results are not conclusive, however the observations of this study pose important research questions for future studies to investigate.
PMID: 26244505
📄 Download the PDF from VitaminDWiki
Low maternal vitamin D status in pregnancy increases the risk of childhood obesity - Aug 2018
Pediatr Obes. 2018 Aug;13(8):467-475. doi: 10.1111/ijpo.12267. Epub 2018 Jan 28.
Daraki V1,2, Roumeliotaki T1, Chalkiadaki G1, Katrinaki M3, Karachaliou M1, Leventakou V1, Vafeiadi M1, Sarri K1, Vassilaki M4, Papavasiliou S2, Kogevinas M5, Chatzi L1,6,7.
BACKGROUND:
Vitamin D may modulate adipogenesis. However, limited studies have investigated the effect of maternal vitamin D during pregnancy on offspring adiposity or cardiometabolic parameters with inconclusive results.
OBJECTIVES:
The objective of this study is to examine the association of maternal 25(OH)-vitamin D [25(OH)D] status with offspring obesity and cardiometabolic characteristics in 532 mother-child pairs from the prospective pregnancy cohort Rhea in Crete, Greece.
METHODS:
Maternal 25(OH)D concentrations were measured at the first prenatal visit (mean: 14 weeks, SD: 4). Child outcomes included body mass index standard deviation score, waist circumference, skin-fold thickness, blood pressure and serum lipids at ages 4 and 6 years. Body fat percentage was also measured at 6 years. Body mass index growth trajectories from birth to 6 years were estimated by mixed effects models with fractional polynomials of age. Adjusted associations were obtained via multivariable linear regression analyses.
RESULTS:
About two-thirds of participating mothers had 25(OH)D concentrations <50 nmol L-1 . Offspring of women in the low 25(OH)D tertile (<37.7 nmol L-1 ) had higher body mass index standard deviation score (β 0.20, 95% CI: 0.03, 0.37), and waist circumference (β 0.87 95% CI: 0.12, 1.63) at preschool age, compared with the offspring of women with higher 25(OH)D measurements (≥37.7 nmol L-1 ), on covariate-adjusted analyses. The observed relationships persisted at age 6 years. We found no association between maternal 25(OH)D concentrations and offspring blood pressure or serum lipids at both time points.
CONCLUSIONS:
Exposure to very low 25(OH)D concentrations in utero may increase childhood adiposity indices. Given that vitamin D is a modifiable risk factor, our findings may have important public health implications.
See also VitaminDWiki
Low vitamin D during pregnancy increases risk of future health problems (obesity etc.) – May 2022
Child 49 percent higher risk of being overweight if preeclampsia during pregnancy – Sept 2017
Obese need 2 - 3 X more vitamin D - click on chart for details

Pages listed in BOTH the categories Pregnancy and Obesity
{category}
Pages in BOTH of categories: Infant-Child and Obesity
{category}