Child 49 percent higher risk of being overweight if preeclampsia during pregnancy

Maternal blood pressure rise during pregnancy and offspring obesity risk at 4-7 years old: the Jiaxing Birth Cohort

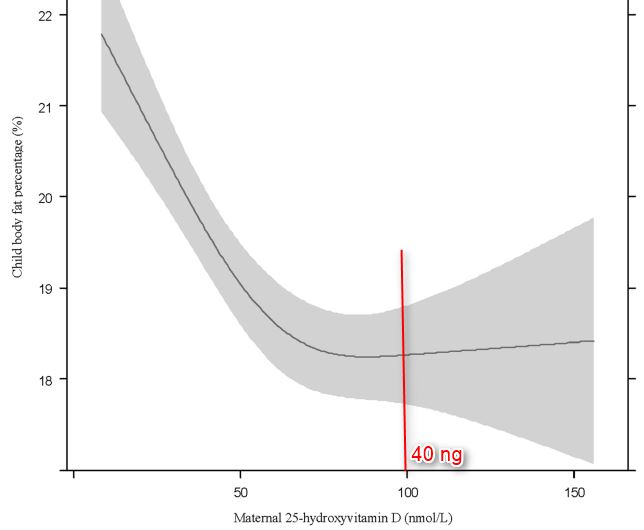
Perhaps low vitamin D during pregnancy ==> Overweight child, hypertension not required * Infant risk of obesity increased by 50 percent if low vitamin D during pregnancy – Sept 2015 * Overweight children associated with low vitamin D during pregnancy – 2015, 2018 which has the following chart image 1. VitaminDWiki pages containing PREECLAMPSIA in title {LIST()}

📄 Download the PDF from VitaminDWiki

Context: Maternal hypertensive disorders during pregnancy are suggested to have an impact on offspring obesity risk. However, little is known about the prospective association of rise in maternal blood pressure within normal range during pregnancy with offspring obesity risk. Objective: We aimed to clarify the associations of diastolic and systolic blood pressure during pregnancy among normotensive women with offspring obesity risk.

Design: Prospective cohort study.

Setting: Southeast China.

Participants: Up to 2013, 88,406 mother-child pairs with anthropometric measurements of the offspring between 4-7 years of age were included in the present analysis.

Main outcomes measured: Offspring overweight/obesity risk.

Results: Among normotensive women, second and third trimester diastolic and systolic blood pressure were positively associated with offspring overweight/obesity risk: odds ratios per 10 mmHg higher second and third trimester diastolic blood pressure were: 1.05 (95% confidence interval: 1.01, 1.09) and 1.05 (1.02, 1.10), respectively; and for systolic blood pressure: 1.08 (1.05, 1.11) and 1.06 (1.03, 1.09). Each 10 mmHg greater rise in blood pressure between first to third trimester was associated with higher risk of offspring overweight/obesity, with diastolic: 1.06 (1.01, 1.10) and systolic: 1.05 (1.02, 1.07). Among all women (combining normotensive and hypertensive women), maternal hypertension in the second and third trimester was associated with 49% and 14% higher risk of offspring overweight/obesity respectively.

Conclusions: These results suggest that rise in maternal blood pressure during pregnancy and pregnancy hypertension, independent of maternal body size prior to pregnancy, are risk factors for offspring childhood obesity. We studied the association between maternal pregnancy blood pressure and offspring obesity risk, and found that rise in pregnancy blood pressure was associated with a higher risk of offspring obesity

Title change made July 2021 caused the visitor count to reset.
There have actually been visitors to this page since it was originally made