Breast Cancer risk reduced 17 percent by 1 hour of daily summer sun – meta-analysis
Solar Ultraviolet Radiation and Breast Cancer Risk: A Systematic Review and Meta-Analysis
Environmental Health Perspectives, January 2020 https://doi.org/10.1289/EHP4861
Troy W. R. Hiller, Dylan E. O’Sullivan, Darren R. Brenner, Cheryl E. Peters, and Will D. King
📄 Download the PDF from VitaminDWiki

Background:
A protective relationship has been hypothesized between exposure to solar ultraviolet radiation (UVR) and the development of breast cancer.
Objective:
The objective of this study was to conduct a systematic literature review and meta-analysis of studies examining the association of exposure to solar UVR and breast cancer risk.
Methods:
We searched Medline, EMBASE, and Web of Science for all studies investigating exposure to solar UVR and breast cancer risk. Separate analyses were performed using estimates of time spent in the sun, and ambient UVR. Associations were estimated using DerSimonian and Laird random-effect models. Heterogeneity was investigated through subgroup analyses and I2 statistics.
Results:
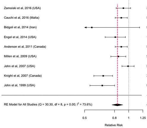
Fourteen studies were included in the review and 13 in the meta-analysis, with the majority (n=8) conducted in North America. We observed a decreased risk of breast cancer for individuals spending ≥1h/d in the sun during summer months over a lifetime or usual adulthood compared with <1h/d [pooled relative risk (RR)=0.84; 95% CI: 0.77, 0.91]. Spending ≥2h/d in the sun had a similar protective effect as 1 to <2h/d when compared with <1h/d (RR=0.83; 95% CI: 0.75, 0.93 vs. 0.83; 95% CI: 0.78, 0.89). Exposure during adolescence was suggestive of a lower risk of breast cancer than exposure later in life (≥45 years of age) (RR=0.83; 95% CI: 0.71, 0.98 vs. 0.97; 95% CI: 0.85, 1.11). Ambient UVR was not associated with the risk of breast cancer (RR=1.00; 95% CI: 0.93, 1.09).
Discussion:
To our knowledge, this was the first meta-analysis to estimate the risk of developing breast cancer associated with time spent in the sun. The results suggest that obtaining greater than an hour a day in the sun during the summer months could decrease the risk of developing breast cancer. https://doi.org/10.1289/EHP4861
Introduction
Breast cancer is the most common cancer (excluding nonmelanoma skin cancer) diagnosed among females worldwide, being responsible for 25% of incident cases (WHO 2016). Rates of breast cancer differ more than 5-fold between regions of the world, owing to differences in the prevalence of risk factors (WHO 2016). Established risk factors for breast cancer include increasing age, Caucasian ethnicity, having a family history of breast cancer, germ-line genetic mutations in key tumor suppressor genes (BRCA1, BRCA2, CHEK2, and PALB2), reproductive history (including early age at menarche, late age at menopause, nulliparity, and late age at first birth), exogenous hormone use (long-term use of oral contraceptives and hormone replacement therapy), and lifestyle factors (high alcohol intake, obesity, adult weight gain, physical inactivity, poor diet, and smoking) (Sun et al. 2017). Despite what is known about risk factors for breast cancer, further research is merited to identify additional risk factors. For example, within the Nurses’ Health Study, Tamimi et al. (2016) reported that established modifiable and nonmodifiable risk factors accounted for approximately 70% of postmenopausal breast cancer cases, whereas modifiable risk factors accounted for 34%.
Solar ultraviolet radiation (UVR) is an omnipresent exposure with confirmed detrimental and potential protective effects on cancer risk. Although a causal relationship between UVR and cutaneous malignancies has been established (IARC 1992), a certain amount of ultraviolet B (UVB) radiation—wavelength of 290–315 nm—from the sun may be protective for some noncutaneous malignancies, including breast cancer (van der Rhee et al. 2013). The potential biological mechanisms underlying a protective relationship between moderate UVR exposure and noncutaneous malignancies are based on the antiproliferative and apoptotic properties of vitamin D (Webb and Holick 1988) as well as increases in nocturnal melatonin concentrations, which have also been shown to have antiproliferative effects (Stevens 2005).
Several ecologic studies have examined the relationship between breast cancer incidence and latitude or measures of ambient UVR (Bilinski et al. 2014; Boscoe and Schymura 2006; Gorham et al. 1990; Grant 2012, 2013; Mandal et al. 2009; Mohr et al. 2008). These ecologic studies, despite their limitations, in general support the hypothesis that greater levels of solar UVR exposure may reduce an individual’s risk of breast cancer. In addition, the most recent meta-analysis (Estébanez et al. 2018) and pooled analysis (McDonnell et al. 2018) on circulating vitamin D and breast cancer risk have found a reduced risk with increasing levels of vitamin D. A body of literature exists pertaining to the relationship between solar UVR exposure and breast cancer risk, including a systematic review of case–control and cohort studies (van der Rhee et al. 2013). Two primary measures of solar UVR exposure exist: ambient UVR radiation—an ecologic measure—often measured in kilojoules per squared meter (kJ/m2) or Watts (W) (for use in large studies, where individual measurements have not been collected or are not practical), and time spent in the sun—usually denoted as the number of hours an individual spends outdoors on an average summer weekday/weekend. Among this body of literature, study results have been inconsistent (van der Rhee et al. 2013). Differences in geographic location, study design, confounders adjusted for, and exposure measures exist, which may explain the current heterogeneity of results. Existing literature has demonstrated differences in the risk factor profiles for breast cancers based on menopausal and hormone receptor subgroups (Blackmore et al. 2008). In addition, there is some evidence that UVR exposure during periods of development and hormonal changes—such as adolescence—may have a distinct relationship with the incidence of breast cancer (Colston and Hansen 2002; Setiawan et al. 2009). The published literature has yet to be synthesized through the generation of summary effect estimates.
The first objective of this study was to identify all relevant cohort and case–control studies that investigated the risk of breast cancer associated with varying levels of exposure to UVR. The second objective was to qualitatively synthesize the literature on this topic and to assess overall study quality. The third objective was to estimate the risk of breast cancer associated with different levels of time spent in the sun and ambient UVR exposure (strength of the sun or latitude as a proxy) during lifetime or usual adult exposure. The fourth objective was to perform analyses by different exposure windows (adolescence and later in life) to determine whether particular life periods are most important. The fifth objective was to determine whether different subtypes of breast cancer were differentially associated with exposure to UVR. The final objective was to explore sources of heterogeneity, including study design, control for important confounders, and overall study quality.
. . . . . . . . . . . . .