Vitamin K (any amount and any kind) reduced bone fractures by 24 percent – meta-analysis
Effect of vitamin K on bone mineral density and fractures in adults: an updated systematic review and meta-analysis of randomised controlled trials
Osteoporosis International. pp 1–17, doi.org/10.1007/s00198-019-04949-0
A. Mott T. BradleyK. WrightE. S. CockayneM. J. ShearerJ. AdamsonS. A. Lanham-NewD. J. Torgerson
📄 Download the PDF from Sci-Hub via VitaminDWiki
For any type and amount of Vitamin K

Summary
Vitamin K may affect bone mineral density and fracture incidence. Since publication of a previous systematic review the integrity of some of the previous evidence has been questioned and further trials have been published. Therefore an update to the systematic review was required.
Introduction
This systematic review was designed to assess the effectiveness of oral vitamin K supplementation for increasing bone mineral density and reducing fractures in adults.
Methods
MEDLINE, EMBASE, CENTRAL, CINAHL, clinicaltrials.gov, and WHO-ICTRP were searched for eligible trials. Randomised controlled trials assessing oral vitamin K supplementation that assessed bone mineral density or fractures in adult populations were included. A total of 36 studies were identified. Two independent reviewers extracted data using a piloted extraction form.
Results
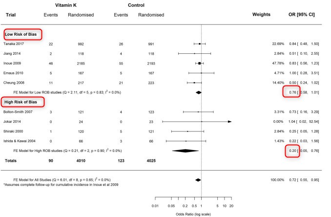
For post-menopausal or osteoporotic patients, meta-analysis showed that the odds of any clinical fracture were lower for vitamin K compared to controls (OR, 0.72, 95%CI 0.55 to 0.95). Restricting the analysis to low risk of bias trials reduced the OR to 0.76 (95%CI, 0.58 to 1.01).
There was no difference in vertebral fractures between the groups (OR 0.96, 95%CI 0.83 to 1.11). In the bone mineral density meta-analysis, percentage change from baseline at the lumbar spine was higher at 1 year (MD 0.93, 95%, CI − 0.02 to 1.89) and 2 years (MD 1.63%, 95%CI 0.10 to 3.16) for vitamin K compared to controls; however, removing trials at high risk of bias tended to result in smaller differences that were not statistically significant. At 6 months, it was higher in the hip (MD 0.42%, 95%CI 0.01 to 0.83) and femur (MD 0.29%, 95%CI 0.17 to 0.42). There was no significant difference at other anatomical sites.
Conclusions
For post-menopausal or osteoporotic patients, there is no evidence that vitamin K affects bone mineral density or vertebral fractures; it may reduce clinical fractures; however, the evidence is insufficient to confirm this. There are too few trials to draw conclusions for other patient groups.