Crohn’s Disease reduced for a year by 7 weeks of high dose Vitamin D – RCT

Seven Weeks of High-Dose Vitamin D Treatment Reduces the Need for Infliximab Dose-Escalation and Decreases Inflammatory Markers in Crohn’s Disease during One-Year Follow-Up

Nutrients 2021, 13(4), 1083; https://doi.org/10.3390/nu13041083

by Mia Bendix 1,2,*,Anders Dige 1,Søren Peter Jørgensen 1,Jens Frederik Dahlerup 1,Bo Martin Bibby 3,Bent Deleuran 4,5OrcID andJørgen Agnholt 1OrcID

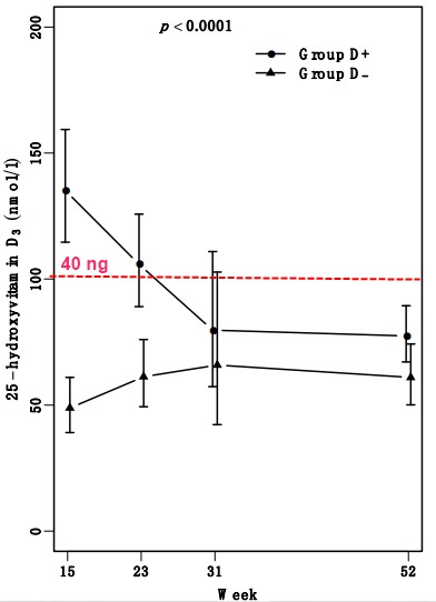
200,000 IU the first day then 20,000 IU daily for 7 weeks | | | | --- | --- | | image | For most diseases the group with high dose of
vitamin D would have similar levels to placebo group after 4-5 months
 
Perhaps the high-dose vitamin D reduced the
Crohn's disease and improved gut bacteria enough
that vitamin D absorption by the gut improved for the rest of the year | They would have probably had even better results if they had used a gut-friendly vitamin D Overview Gut and vitamin D has the following summary {include} Overview Gut and vitamin D contains gut-friendly information {include} Gut category listing contains the following {include} * Gut bacteria of Crohn's disease patients improved by Vitamin D – March 2018 * Strong interactions between Vitamin D and the gut microbiota via Butyrate and VDR – Dec 2019 * Crohn’s disease helped when vitamin D level raised above 30 ng – RCT Feb 2015

📄 Download the PDF from VitaminDWiki

Background: Seven weeks of high-dose vitamin D treatment decreases intestinal IL17A and IFN-γ mRNA expression in active Crohn’s disease (CD). In this follow-up study, we investigated whether seven-week vitamin D treatment affected the infliximab response in the following 45 weeks compared to placebo.

Methods: CD patients (n = 40) were initially randomised into four groups: infliximab + vitamin-D; infliximab + placebo-vitamin-D; placebo-infliximab + vitamin-D; and placebo-infliximab + placebo-vitamin-D. Infliximab (5 mg/kg) or placebo-infliximab was administered at weeks 0, 2 and 6. Vitamin D (5 mg bolus followed by 0.5 mg/day for 7 weeks) or placebo-vitamin D was handed out. After the 7-week vitamin D period, all patients received infliximab during follow-up. Results are reported for Group D+ (infliximab + vitamin-D and placebo-infliximab + vitamin-D) and Group D- (infliximab + placebo-vitamin-D and placebo-infliximab + placebo-vitamin-D).

Results: Group D- patients had greater needs for infliximab dose escalation during follow-up compared to group D+ (p = 0.05). Group D+ had lower median calprotectin levels week 15 (p = 0.02) and week 23 (p = 0.04) compared to group D-. Throughout follow-up, group D+ had 2.2 times (95% CI: 1.1–4.3) (p = 0.02) lower median CRP levels compared with group D-.

Conclusions: Seven weeks high-dose vitamin D treatment reduces the need for later infliximab dose-escalation and reduces inflammatory markers. EudraCT no. 2013-000971-34.

Tags: Gut High-Dose