Allergic rhinitis in children reduced somewhat during pollen season by just 1,000 IU of vitamin D – RCT
Clinical and immunological effects of vitamin D supplementation during the pollen season in children with allergic rhinitis.
Arch Med Sci. 2018 Jan;14(1):122-131. doi: 10.5114/aoms.2016.61978. Epub 2016 Aug 29.
Jerzyńska J1, Stelmach W2, Rychlik B3, Majak P4, Podlecka D1, Woicka-Kolejwa K1, Stelmach I1.

📄 Download the PDF from VitaminDWiki
INTRODUCTION:
Vitamin D deficiency has been proposed as a potential contributing factor in patients with allergic diseases. We compared the clinical and immunological effects of vitamin D supplementation to placebo during the pollen season in children with allergic rhinitis.
MATERIAL AND METHODS:
Thirty-eight children aged 5-12, sensitive to grass pollen, participated in a prospective, randomized, double-blind, placebo-controlled trial. Children received either vitamin D 1000 IU daily supplementation or placebo. We studied symptoms/medication score, lung function, exhaled nitric oxide concentration (FENO), methacholine bronchial provocation test and serum level of 25(OH)D, as well as; CD4+CD25+Foxp3+ cells, TLR4, IL-1, IL-6, TNF and the IL-10 and transforming growth factor β1 (TGF-β1) levels in cell culture supernatants.
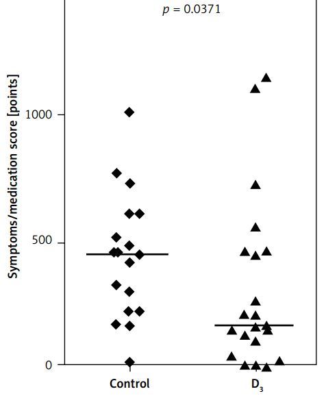
RESULTS:
Vitamin D therapy was effective in reduction of the symptoms/medication score (p = 0.0371). In vitamin D group an increase in the CD4+CD25+Foxp3+ cells (7.06 vs. 10.5%; p = 0.0013) and serum 25(OH)D concentration (49.6 vs. 96.6 ng/ml; p = 0.0001) and in control group an increase in FENO (15.6 vs. 21 ppb; p = 0.0331) and serum 25(OH)D level were observed (82.9 vs. 100.3 ng/ml; p = 0.0003).We revealed a higher increase from baseline in the percentage of CD4+CD25+Foxp3+ cells in the vitamin D group compared to the control group (p = 0.0058). A significant correlation between CD4+CD25+Foxp3+ cell induction and FENO reduction in the vitamin D group was observed (p = 0.0217).
CONCLUSIONS:
Vitamin D 1000 IU as a supplementary treatment of grass pollen allergy in children with allergic rhinitis during the pollen season significantly reduced the symptoms/medication score. The study revealed an immunological effect of vitamin D.
PMID: 29379542 PMCID: PMC5778420 DOI: 10.5114/aoms.2016.61978