Lots of sugar while pregnant doubles asthma risk – 2017
See also VitaminDWiki:Vitamin D treats asthma
Childhood asthma problems eliminated for months by 600,000 IU of Vitamin D injection – June 2017
Asthma reduced 60 percent with vitamin D supplementation – meta-analysis 2014, 2015
Why deficiencies in vitamin D and magnesium are linked to asthma
- Note: high fructose corn syrup used in dietary drinks uses up 2X more Magnesium than does sugar
- Cola Soft Drinks reduce Calcium, Vitamin D, and Magnesium - many studies
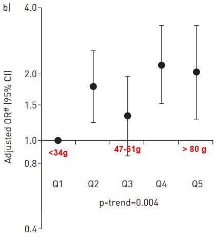
Maternal intake of sugar during pregnancy and childhood respiratory and atopic outcomes] July 2017
published by European Respiratory Society
“After controlling for potential confounders, maternal intake of free sugar was positively associated with atopy (OR for highest versus lowest quintile of sugar intake 1.38, 95% CI 1.06–1.78; per quintile p-trend=0.006) and atopic asthma (OR 2.01, 95% CI 1.23–3.29; per quintile p-trend=0.004). These associations were not confounded by intake of sugar in early childhood, which was unrelated to these outcomes.”
2X increase in atopic asthma if > 60 grams of sugar daily during pregnancy

"Atopy refers to the genetic tendency to develop allergic diseases such as allergic rhinitis, asthma and atopic dermatitis (eczema)." from Google
📄 Download the PDF from VitaminDWiki
Prenatal and Early-Life Fructose, Fructose-Containing Beverages, and Mid-Childhood Asthma - Dec 2017
Annals of the American Thoracic Society https://doi.org/10.1513/AnnalsATS.201707-530OC PubMed: 29219619
Lakiea S Wright ; Sheryl L Rifas-Shiman , Emily Oken , Augusto A Litonjua ; Diane R Gold ;
Rationale: Cross-sectional studies have linked intake of high fructose corn syrup sweetened beverages with asthma in school children.
Objective: To examine associations of maternal prenatal and early childhood intake of sugar sweetened beverages and fructose with current asthma in mid-childhood (median 7.7years).
Methods: We assessed maternal pregnancy (1st and 2nd trimester average) and child (median 3.3 years) intake of sugar sweetened beverages and total fructose using food frequency questionnaires in 1068 mother-child pairs from Project Viva, a prospective pre-birth cohort. In a multivariable analysis, we examined associations of quartiles of maternal and child sugar sweetened beverage, juice, and total fructose intake with child current asthma in mid-childhood, assessed by questionnaire as ever doctor-diagnosed asthma plus taking asthma medications or reporting wheezing in the past 12 months.
Results: Higher maternal pregnancy sugar sweetened beverage consumption (mean 0.6 servings/day; range 0-5) was associated with younger maternal age, non-white race/ethnicity, lower education and income, and higher pre-pregnancy BMI. Adjusting for pre-pregnancy BMI and other covariates, comparing quartile 4 v. quartile 1, higher maternal pregnancy intake of
sugar sweetened beverages (OR 1.70 ; 95%CI 1.08, 2.67) and
total fructose (OR 1.58; 0.98, 2.53)
were associated with greater odds of mid-childhood current asthma (prevalence=19%). Higher early childhood fructose intake (quartile 4 v. quartile 1) was also associated with mid-childhood current asthma in models adjusted for maternal sugar sweetened beverages (OR 1.79; 1.07, 2.97) and after additional adjustment for mid-childhood BMI z-score (OR 1.77; 1.06, 2.95).
Conclusion: Higher sugar sweetened beverage and fructose intake during pregnancy and in early childhood may influence childhood asthma development, in part through mechanisms apart from adiposity.
📄 Download the PDF from VitaminDWiki
VitaminDWiki pages with SUGAR in title (8 as of June 2022)
This list is automatically updated
{LIST()}