Inflammation (C-reactive protein) associated with low vitamin D in 22 diseases
Associations of C-reactive Protein with 25-hydroxyvitamin D in 24 Specific Diseases: A Cross-sectional Study from NHANES
Scientific Reports volume 10, Article number: 5883 (2020)
Fang Yang, Mengzi Sun, Chong Sun, Jiagen Li, Xiuning Yang, Chunli Bi, Min Wang, Liyuan Pu, Jianmeng Wang, Chunxiao Wang, Meizhen Xie, Yan Yao & Lina Jin


📄 Download the PDF from VitaminDWiki
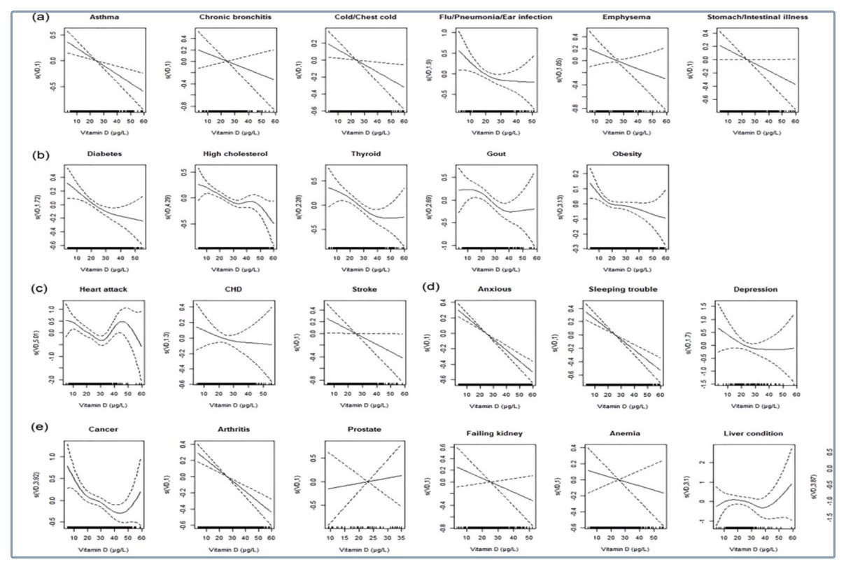
Most diseases might be associated with acute or chronic inflammation, and the role of vitamin D in diseases has been extensively explored in recent years. Thus, we examined the associations of one of the best markers for inflammation ― C-reactive protein (CRP) with 25-hydroxyvitamin D [25(OH)D] in 24 specific diseases. We performed cross-sectional analyses among 9,809 subjects aged ≥18 years who participated in the U.S. National Health and Nutrition Examination Survey (NHANES) in 2007~2010 . The generalized additive model (GAM) was used to explore the associations of CRP with 25(OH)D in different diseases, adjusted for the age, gender, examination period and race. Distributions of CRP were significantly different (P < 0.05) in gender, examination period and race, and distributions of 25(OH)D were different (P < 0.05) in the examination period and race. Generally, CRP was negatively associated with 25(OH)D for majority diseases. 25(OH)D was negatively associated with CRP generally, and the associations were disease-specific and disease category-specific. In respiratory, gastrointestinal and mental diseases, the associations tended to be approximately linear. While in metabolic diseases, the associations were nonlinear, and the slope of the nonlinear curve decreased with 25(OH)D, especially when 25(OH)D < 30 μg/L.
Papers that cited this one include
Moderator role of vitamin D concentrations on the association between metabolic syndrome and C-reactive protein among adults - Dec 2020 📄 PDF
Low Serum Levels of 25-Hydroxyvitamin D Accompany Severe COVID-19 Because it is a Negative Acute Phase Reactant - June 2021📄 PDF
FUNCTIONAL FEATURES OF THE RELATIONSHIP BETWEEN LEVELS OF VITAMIN D, MARKERS OF CHRONIC INFLAMMATION, HOMOCYSTEINE AND HORMONAL-METABOLIC PARAMETERS IN WOMEN WITH POLYCYSTICOVARY SYNDROME - 2021 📄 PDF
VitaminDWiki - Inflammation category starts with
{include}
VitaminDWiki pages containing REACTIVE or CRP in title
This list is automatcially updated
{LIST()}
Your hs-CRP Level can be an Early Warning of Un-Diagnosed Diseases - June 2022
How to DETECT INFLAMMATION With C-REACTIVE PROTEIN (CRP)
Here is a quick summary of what this video discusses, along with additional information and details from GrassrootsHealth:
Chronic, low-level inflammation has been linked to a number of chronic diseases ranging from cardiovascular disease and diabetes to mental health disorders, cancer, and osteoporosis
Inflammation is part of the process of breaking down and re-generating tissue, which is supposed to be re-built. In certain situations, the body is unable to re-build the tissues, and inflammation becomes continual and damaging.
CRP is generated by the liver when the body has a need to repair itself; it is a signal for repair that gets ‘louder’ when unable to do the repair
A series of studies have shown that CRP is a better predictor of cardiovascular risk than other blood tests such as cholesterol. In fact, measuring CRP allows doctors to predict your risk of having a heart attack over the next 5 to 10 years if you have risk factors for heart disease. It is also an early sign of bone weakening in osteoporosis and of many other disorders.
The higher the inflammation levels, the higher the risk of developing chronic disease. Sometimes an individual will experience symptoms such as joint pain or fatigue, but often times there will be no symptoms until disease occurs. Therefore, the only way to know your inflammation level is to measure it.
The test to use to measure levels of inflammation is the high sensitivity C-reactive protein (hs-CRP) test, also called the cardio C-reactive protein test
The level of hs-CRP to target is a very low level, such as 0.5 mg/L or less
An analysis of the GrassrootsHealth cohort showed that almost three fourths (74%) of participants had hs-CRP levels below 1.0 mg/L (low risk), 19% had levels between 1.0 and 3.0 mg/L (average risk), and 8% had levels between 3.1 and 10.0 mg/L (increased risk)
A high hs-CRP level indicates the body needs to repair, but is unable to. Some nutrients, including vitamin D, magnesium, and omega-3s may help the body with this repair process and lower levels of inflammation and CRP.
Dr. Brown discusses her favorite ways to repair… watch the video now!