Colorectal cancer is associated with Vitamin D (17 meta-analyses so far)
Association between Blood 25-Hydroxyvitamin D Levels and Survival in Colorectal Cancer Patients: An Updated Systematic Review and Meta-Analysis.
Nutrients. 2018 Jul 13;10(7). pii: E896. doi: 10.3390/nu10070896.
Maalmi H1,2, Walter V3, Jansen L4, Boakye D5, Schöttker B6,7, Hoffmeister M8, Brenner H9,10,11.
📄 Download the PDF from VitaminDWiki

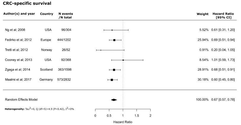
Previous meta-analyses have shown an improved survival with higher blood 25-hydroxyvitamin D (25(OH)D) concentrations in patients with colorectal cancer (CRC). However, a number of much larger studies have been published since then. We provide an updated meta-analysis to synthesize current evidence. PubMed and Web of Science databases were systematically searched for eligible studies. The dose-response relationships and pooled hazard ratios for overall and CRC-specific survival comparing the highest versus the lowest categories of blood 25(OH)D concentrations were assessed. Subgroup analyses based on study geographic location, year of publication, sample size, length of follow-up time and stage were conducted to explore potential sources of heterogeneity.
Overall, 11 original studies with a total of 7718 CRC patients were included. The dose-response meta-analysis showed an improvement in survival outcomes with increasing blood 25(OH)D concentrations. Pooled hazard ratios (95% confidence intervals) comparing highest versus lowest categories were 0.68 (0.55⁻0.85) and 0.67 (0.57⁻0.78) for overall and CRC-specific survival, respectively. Associations were more prominent among studies conducted in Europe, with larger sample sizes, and including stage I⁻IV patients. This updated meta-analysis reveals robust evidence of an association between higher blood 25(OH)D concentrations and better survival in CRC patients. The potential for enhancing prognosis of CRC patients by vitamin D supplementation should be explored by randomized trials.