Severe periodontitis is half as likely at 60 ng of vitamin D
Serum 25-hydroxyvitamin D is negatively associated with severe periodontitis: a cross-sectional study
Fangjing Zhou, Ning Ma, Ruiting Su, Xiaoyu He, Xiaona Wang, Yang Zhou & Jing Shi
BMC Oral Health volume 21, Article number: 479 (2021)

π Download the PDF from VitaminDWiki
Background
Periodontitis can lead to the destruction of periodontium and adversely influence the overall health, wellbeing, and quality of life. However, studies on the relationship between severe periodontitis and serum 25-hydroxyvitamin D [25(OH)D] are limited. This study is designed to explore the relationship between 25(OH)D and severe periodontitis.
Methods
A cross-section study of 2928 participants enrolled from the National Health and Nutrition Examination Survey (NHANES) from 2013 to 2014 was conducted. The periodontal examination was performed using a total oral periodontal examination program, and probe measurements were collected at six sites per tooth in NHANES. Severe periodontitis was characterized as:ββ₯β2 interproximal sites with attachment loss (AL)ββ₯β6 mm (not on the same tooth) andββ₯β1 interproximal site with probing depth (PD)ββ₯β5 mm. Severe periodontitis and serum 25(OH)D were the dependent and independent variables, respectively. Univariate, multivariate, and subgroup analyses were performed to explore the relationship between severe periodontitis and serum 25(OH)D.
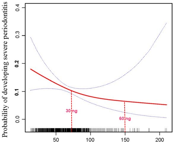
Results
Among the 2928 participants, the average age of the population was 50βΒ±β13.71 years old, with 1425 (48.67%) males, 316 (10.79%) exhibited severe periodontitis. Serum 25(OH)D showed a significantly negative association with severe periodontitis after adjusting all variables (OR 0.75, 95% CI 0.63β0.89). In addition, severe periodontitis has a nonlinear relationship with serum 25(OH)D, whoes inflection point was 102 (nmol/L). On the left side of the inflection point (25(OH)Dββ€β102 nmol/L), the effect size was 0.98 and 95%CI was 0.98β0.99 (25(OH)D per 1 nmol/L increments). On the right side of the inflection point (25(OH)Dβ>β102 nmol/L), the effect size was 0.99 and 95% CI was 0.98β1.01. The subgroup analysis showed pronounced changes in non-Hispanic white, alcohol consumption, diabetes, and health insurance.
Conclusion
Serum 25 (OH) D in relation to severe periodontitis is nonlinear in our study.When serum 25 (OH) D is less than 102 nmol/L, serum