Omega-3 does not consistently treat depression if use small amounts for short time period – review
Omega-3 Fatty Acids as Complementary and Alternative Medicine for Depression: Literature Review
American Journal of Nursing Research; Vol. 4, No. 3, 2016, pp 69-73. doi: 10.12691/ajnr-4-3-3 | Anas Husam Khalifeh
Nursing Department, Prince Hamzah Hospital, Ministry of Health, Amman, Jordan
📄 Download the PDF from VitaminDWiki

Background: Depression is a common mental and psychological disorder, rise globally. Depressed patients may resort to other sources to decrease the symptoms without side effects like complementary and alternative medicine (CAM), The most commonly used CAM treatments in the United States for people who have depression is Omega-3 Long-Chain Polyunsaturated Fatty Acids (LCPUFA). The purpose of this paper to highlight and explore more information about the effectiveness of omega 3 folic acid on patients who diagnosed with depression.
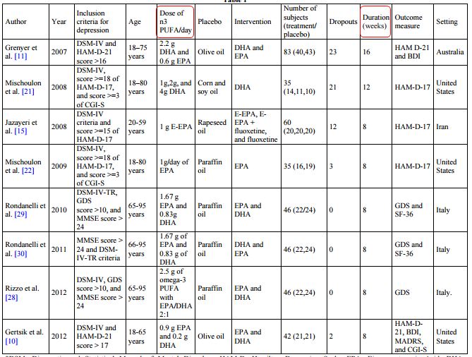
Methods: Literature review of Randomized Control Trails (RCTs) studies, articles have been recovered for review of computer searches, from 2006 to 2016, databases that were used: PubMed, Medline, Wiley, PsychInfo, EBSCO host, Ovid database, Cinahl, and Google Scholar. Articles were selected based on a set of eligibility criteria.
Results: The literature review content eight RCTs studies according to eligibility criteria, there are studies support the evidence of the effectiveness of omega-3 and dose of omega-3 with depression disorder as a monotherapy and combining with an antidepressant. However, there are studies that shown the inverse result.
Conclusions: Although there are studies showed Influence effectively, the using and role of omega-3 for depression still under debate.