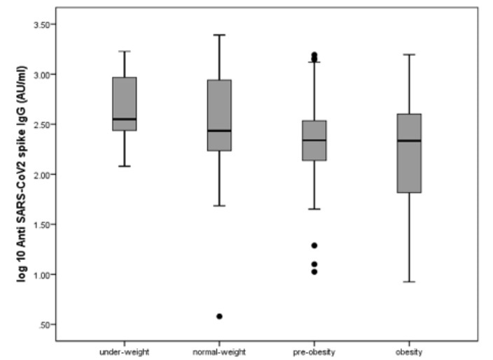
Obese get less benefit from vaccines: influenza, hepatitis B, rabies and now COVID-19
BMI, age, and gender affect COVID-19 vaccine antibody response MDEdge
based on preprint Feb 26 - seems like only 10% or less

VitaminDWiki observes that
1) Obese have lower levels of vitamin D
2) Lower levels of vitamin D are associated with poorer immune systems
VitaminDWiki
Virus (adeno-36) increases Obesity which then increases risk of another virus (Influenza) - Oct 2013
Overview Obesity and Vitamin D contains the following summary
{include}
{include}
Obesity is associated with low Vitamin D (and treated by D as well) – Aug 2019 has the following
{include}
Flu has the following
{include}
Web
- How obesity could create problems for a COVID vaccine Nature Oct 2020