More Calcium absorbed with more vitamin D – 6.7% more with 4000 IU – RCT
Vitamin D supplementation increases calcium absorption without a threshold effect
Am J Clin Nutr March 2014 vol. 99 no. 3 624-631
John F Aloia, Ruban Dhaliwal, Albert Shieh, Mageda Mikhail, Melissa Fazzari, Louis Ragolia, and Steven A Abrams
Winthrop University Hospital, Mineola, NY (JFA, RD, AS, MM, MF, and LR)
Baylor College of Medicine, Houston, TX (SAA).
Supported by Merck and Empire Clinical Research Investigator Program.
Address correspondence and reprint requests to JF Aloia, Winthrop University Hospital, 222 Station Plaza North, Suite 510, Mineola, NY 11501. E-mail: jaloia@winthrop.org.
Huge variation in Ca absorption between individuals


Background: The maximal calcium absorption in response to vitamin D has been proposed as a biomarker for vitamin D sufficiency.
Objective: The objective was to determine whether there is a threshold beyond which increasing doses of vitamin D, or concentrations of serum 25-hydroxyvitamin D [25(OH)D], no longer increase calcium absorption.
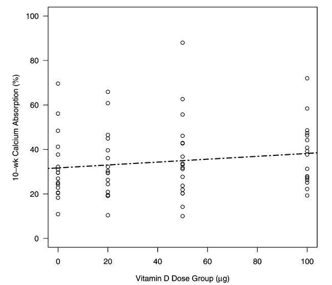
Design: This was a placebo-controlled, dose-response, randomized, double-blind study of the effect of vitamin D on calcium absorption in healthy postmenopausal women. Seventy-six healthy postmenopausal women were randomly assigned to
placebo or
800 IU (20 μg),
2000 IU (50 μg), or
4000 IU (100 μg) vitamin D3 for 8 wk.
The technique of dual isotopes of stable calcium was used with a calcium carrier to measure calcium absorption at baseline and after 8 wk.
Results: Seventy-one women with a mean ± SD age of 58.8 ± 4.9 y completed the study. The mean calcium intake was 1142 ± 509 mg/d and serum 25(OH)D was 63 ± 14 nmol/L at baseline. A statistically significant linear trend of an increase in calcium absorption adjusted for age and body mass index with increasing vitamin D3 dose or serum 25(OH)D concentration was observed. A 6.7% absolute increase in calcium absorption was found in the highest vitamin D3 group (100 μg).
No evidence of nonlinearity was observed in the dose-response curve.
Conclusions: No evidence of a threshold of calcium absorption was found with a serum 25(OH)D range from 40 to 130 nmol/L.
Calcium absorption in this range is not a useful biomarker to determine nutritional recommendations for vitamin D.
This trial was registered at clinicaltrials.gov as NCT01119378.
📄 Download the PDF from VitaminDWiki
See also VitaminDWiki
Calcium intestinal absorption increased with active, but not tested level of vitamin D – May 2014
Increased Vitamin K2 reduces the problems of excess Calcium – Nov 2013
Calcium in blood (tightly regulated) did not increase when increase vitamin D to 40 ng – RCT Oct 2013 This reports on Ca in blood, not Ca absorbed
Little change in Calcium absorption when taking 400 vs 4,000 IU of vitamin D – Oct 2012
Decrease Calcium and Increase Magnesium when increasing vitamin D has the following conceptual chart

81 citations of this study as of April 2023
Long-term supplementation with 3200 to 4000 IU of vitamin D daily and adverse events: a systematic review and meta-analysis of randomized controlled trials - Feb 2023 FREE PDF
"...vitamin D-induced frequency of hypercalcemia of 4 cases per 1000 individuals."
VitaminDWiki had been assuming 3 per 1000 individuals