Increase of plastic compounds (phthalates) in urine during pregnancy associated with decreased Vitamin D
Urinary BPA and Phthalate Metabolite Concentrations and Plasma Vitamin D Levels in Pregnant Women: A Repeated Measures Analysis
Environmental Health Perspectives https://doi.org/10.1289/EHP1178.
📄 Download the PDF from VitaminDWiki


Lauren E. Johns,1 Kelly K. Ferguson,1’2 David E. Cantonwine,3 Thomas F. McElrath,3 Bhramar Mukherjee,4 and John D. Meeker1
1 department of Environmental Health Sciences, University of Michigan School of Public Health, Ann Arbor, Michigan, USA
2 Epidemiology Branch, National Institute of Environmental Health Sciences, National Institutes of Health, Department of Health and Human Services, Research Triangle Park, North Carolina, USA
3 Division of Maternal-Fetal Medicine, Brigham and Women’s Hospital, Harvard Medical School, Boston, Massachusetts, USA department of Biostatistics, University of Michigan School of Public Health, Ann Arbor, Michigan, USA
Background: In addition to its well-established role in maintaining skeletal health, vitamin D has essential regulatory functions in female reproductive and pregnancy outcomes. Phthalates and bisphenol A (BPA) are endocrine disruptors, and previous research has suggested that these chemical agents may disrupt circulating levels of total 25(OH)D in adults.
Objectives: We investigated the relationships between repeated measures of urinary phthalate metabolites and BPA and circulating total 25(OH)D in a prospective cohort of pregnant women.
Methods: The present study population includes participants (n = 477) in a nested case-control study of preterm birth drawn from a prospective birth cohort of pregnant women at Brigham and Women’s Hospital in Boston, Massachusetts. Urine and blood samples were collected for biomarker measurements at median 10 wk and 26 wk of gestation.
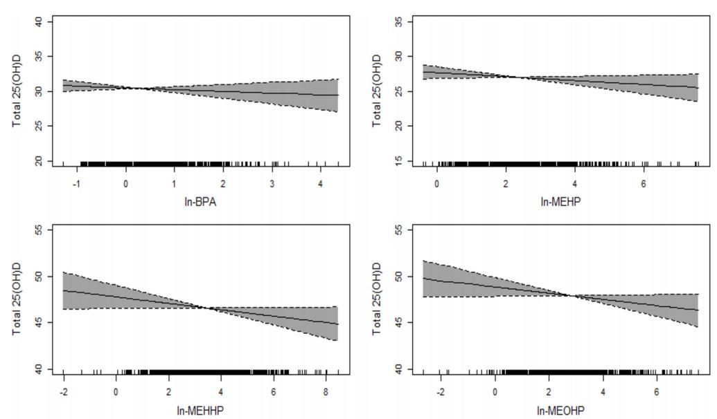
Results: In repeated measures analysis, we observed that an interquartile range (IQR) increase in urinary mono-3-carboxypropyl phthalate (MCPP) was associated with a 4.48% decrease [95% confidence interval (CI): -7.37, -1.58] in total 25(OH)D. We also detected inverse associations for metabolites of di(2-ethylhexyl) phthalate (DEHP) [percent difference (%A) = — 2.83 to -2.16]. For BPA, we observed a nonsignificant inverse association with total 25(OH)D in the overall population. Our sensitivity analysis revealed that the associations for some metabolites (e.g., MEHP) varied by race/ethnicity, which may reflect potential differences in susceptibility. In agreement with findings from repeated measures analysis, we reported that DEHP metabolites and BPA were significantly associated with an approximate 20% increase in the odds of vitamin D deficiency (<20ng/mL) [odds ratio (95% CI): 1.19 (1.06, 1.35) for molar sum of DEHP metabolites and 1.22 (1.01, 1.47) for BPA] at median 10 wk and 26 wk, respectively.
Conclusions: Our results provide suggestive evidence of the potential for environmental exposure to phthalates and/or BPA to disrupt circulating vitamin D levels in pregnancy. https://doi.org/10.1289/EHP1178
Relationships Between Urinary Phthalate Metabolite and Bisphenol A Concentrations and Vitamin D Levels in U.S. Adults:
National Health and Nutrition Examination Survey (NHANES), 2005-2010.
J Clin Endocrinol Metab. 2016 Nov;101(11):4062-4069
Johns LE1, Ferguson KK1, Meeker JD1.
CONTEXT: Recent research suggests that environmental exposure to endocrine-disrupting chemicals may alter circulating 25-hydroxyvitamin D [25(OH)D] levels in humans. To date, no studies have assessed the associations between phthalates and bisphenol A (BPA) and total 25(OH)D in the U.S. general population.
OBJECTIVE: To explore relationships between urinary concentrations of 11 phthalate metabolites and BPA and serum total 25(OH)D in a representative sample of U.S. adults.
DESIGN: A cross-sectional study.
SETTING: U.S. National Health and Nutrition Examination Survey, 2005-2010.
PATIENTS OR OTHER PARTICIPANTS: U.S. general adult population (aged ≥20 years).
INTERVENTIONS: None Main Outcome Measures: Serum total 25(OH)D measured by liquid chromatography-tandem mass spectrometry.
RESULTS: Metabolites of di(2-ethylhexyl) phthalate (DEHP) were consistently inversely associated with total 25(OH)D in the overall study population and in gender-stratified models. In the overall population, we detected a significant inverse relationship for the molar sum of DEHP metabolites (ΣDEHP), where an interquartile range increase in ΣDEHP was associated with a 1.90% decrease (95% confidence interval [CI], -3.64, -0.17) in total 25(OH)D. A positive association was detected for monoethyl phthalate. For BPA, we found a statistically significant inverse relationship in women, but not in men.
In women, an interquartile range increase in urinary BPA was associated with a 3.71% decrease (95% CI, -6.41, -1.02) in total 25(OH)D.
CONCLUSIONS: Overall, our results provide suggestive evidence that environmental exposure to phthalates and BPA may alter circulating levels of total 25(OH)D in adults . Future human and animal studies are required to resolve the direction, temporality, and impact of these relationships.
Air pollution, environmental chemicals, and smoking may trigger vitamin D deficiency: Evidence and potential mechanisms - 2019
See in VitaminDWiki Air Pollution reduces Vitamin D production - many studies