Gene differences can result in 14 ng difference in vitamin D levels
Common Variants in CYP2R1 and GC Genes Predict Vitamin D Concentrations in Healthy Danish Children and Adults.
PLoS One. 2014 Feb 27;9(2):e89907. doi: 10.1371/journal.pone.0089907. eCollection 2014.
Nissen J1, Rasmussen LB1, Ravn-Haren G2, Andersen EW3, Hansen B4, Andersen R1, Mejborn H1, Madsen KH1, Vogel U5.
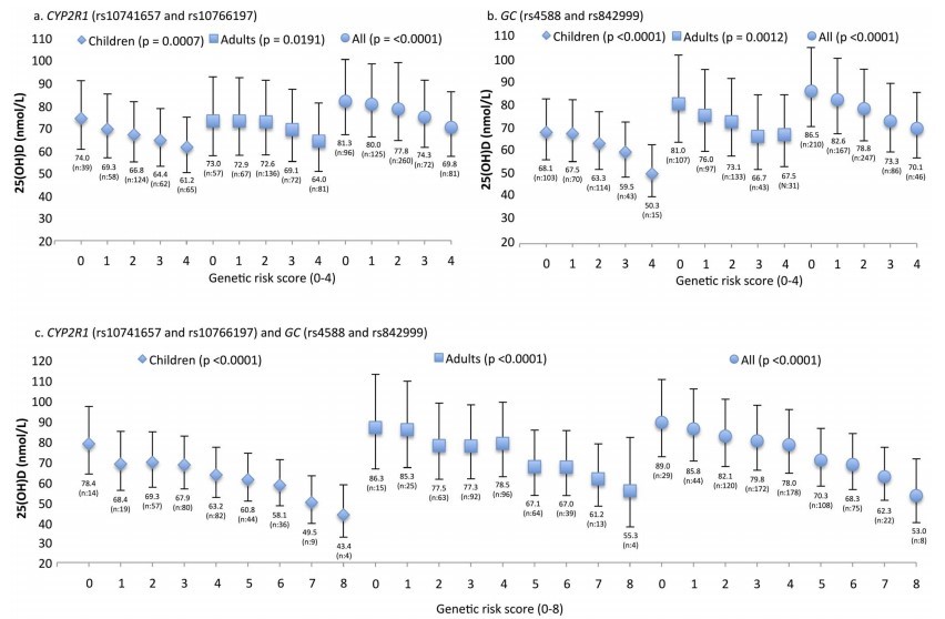
Environmental factors such as diet, intake of vitamin D supplements and exposure to sunlight are known to influence serum vitamin D concentrations. Genetic epidemiology of vitamin D is in its infancy and a better understanding on how genetic variation influences vitamin D concentration is needed. We aimed to analyse previously reported vitamin D-related polymorphisms in relation to serum 25(OH)D concentrations in 201 healthy Danish families with dependent children in late summer in Denmark. Serum 25(OH)D concentrations and a total of 25 SNPs in GC, VDR, CYP2R1, CYP24A1, CYP27B1, C10or88 and DHCR7/NADSYN1 genes were analysed in 758 participants. Genotype distributions were in Hardy-Weinberg equilibrium for the adult population for all the studied polymorphisms. Four SNPs in CYP2R1 (rs1562902, rs7116978, rs10741657 and rs10766197) and six SNPs in GC (rs4588, rs842999, rs2282679, rs12512631, rs16846876 and rs17467825) were statistically significantly associated with serum 25(OH)D concentrations in children, adults and all combined. Several of the SNPs were in strong linkage disequilibrium, and the associations were driven by CYP2R1-rs10741657 and rs10766197, and by GC-rs4588 and rs842999. Genetic risk score analysis showed that carriers with no risk alleles of CYP2R1-rs10741657 and rs10766197, and/or GC rs4588 and rs842999 had significantly higher serum 25(OH)D concentrations compared to carriers of all risk alleles. To conclude, our results provide supporting evidence that common polymorphisms in GC and CYP2R1 are associated with serum 25(OH)D concentrations in the Caucasian population and that certain haplotypes may predispose to lower 25(OH)D concentrations in late summer in Denmark.

PMID: 24587115
📄 Download the PDF from VitaminDWiki.
--
See also VitaminDWiki
Activation (methylation) of CYP2R1 and CYP24A1 predict response to dose of vitamin D – Oct 2013
GC and CYP2R1 genes associated with higher summer vitamin D levels – Jan 2013
Mice lacking CYP2R1 enzyme activate about half of much vitamin D – Sept 2013
Genetics category listing with associated searches
CYP2R1 gene probably responsible for low vitamin D response – RCT April 2014
Search VitaminDWiki for Cyp2R1 190 hits Oct 2014,
GC gene 1450 hits as of June 2019
Predict Vitamin D category listing has items along with related searches
Items in both categories Genetics and Predict Vitamin D are listed here:
{category}