Curcumin helps many health problems
Curcumin in VitaminDWiki
{category}
Supplement reviews by ConsumerLab – Vitamin D, Magnesium, Vitamin K, Calcium , Boron – Nov 2019
- Curcumin bioavailability varies 180 to 1, costs vary 20 to 1
Curcumin helps 9 health measures - umbrella meta-analysis June 2024
Prostaglandins Other Lipid Mediat 2024 Jun 28:174:106867. doi: 10.1016/j.prostaglandins.2024.106867
The effects of curcumin supplementation on biomarkers of inflammation, oxidative stress, and endothelial function: A meta-analysis of meta-analyses
Zeynab Kavyani 1, Kianoosh Najafi 2, Navid Naghsh 3, Houshang Bavandpour Karvane 4, Vali Musazadeh 5
Numerous interventional studies have revealed the beneficial impact of curcumin supplementation on inflammation, oxidative stress, and endothelial function biomarkers, but the findings are still inconsistent. Thus, this study was conducted to investigate the effects of curcumin supplementation on inflammation, oxidative stress, and endothelial function biomarkers. A meta-analyses of randomized clinical trials was performed by searching PubMed, Embase, Scopus, and Web of Science up to March 31, 2024. Pooled estimates of 21 meta-analyses revealed that curcumin
significantly reduced
CRP (weighted mean difference (WMD) = -0.87; 95 % CI: - 1.14, - 0.59, P< 0.001),
tumor-necrosis factor-alpha (TNF-α) (WMD = -2.72; 95 % CI: -4.05, -1.38; P< 0.001),
interleukin-6 (IL-6) (WMD = -0.97, 95 % CI: -1.40, -0.54; P< 0.001),
malondialdehyde (MDA) (Effect size (ES) = -0.81; 95 % CI: -1.39, -0.23, P = 0.006) and
pulse wave velocity (PWV) (WMD = -45.60; 95 % CI: -88.16, -3.04, P = 0.036)
and signicantly increased
flow-mediated dilation (FMD) (WMD = 1.64, 95 % CI: 1.06, 2.22, P < 0.001),
catalase (CAT) (WMD = 10.26; 95 % CI: 0.92, 19.61, P= 0.03),
glutathione peroxidase (GPx) (WMD = 8.90; 95 % CI: 6.62, 11.19, P <0.001), and
superoxide dismutase (SOD) levels (WMD = 20.51; 95 % CI: 7.35, 33.67, P= 0.002 and
SMD = 0.82; 95 % CI: 0.27, 1.38, P= 0.004).
However, curcumin did not significantly change total antioxidant capacity (TAC) (ES = 0.29; 95 % CI: -0.09, 0.66, P= 0.059). These results suggest that curcumin has a beneficial effect on CRP, IL-6, TNF-α, SOD, GPx, CAT, MDA, PWV, and FMD levels and may be an effective adjunctive therapy for improving inflammation, oxidative stress, and endothelial function.
Overview of study at Examine.com
- "An umbrella meta-analysis of 19 meta-analyses of randomized controlled trials was performed. The daily dose of curcumin ranged from 100 mg to 1,900 mg, with an average daily dose of 824 mg. The intervention duration ranged from 4.5 to 15 weeks, with an average duration of around 9 weeks."
Curcumin, inflammation, and chronic diseases: how are they linked? May 2015
Molecules. 2015 May 20;20(5):9183-213. doi: 10.3390/molecules20059183.
He Y1, Yue Y2, Zheng X3,4, Zhang K5, Chen S6, Du Z7.

It is extensively verified that continued oxidative stress and oxidative damage may lead to chronic inflammation, which in turn can mediate most chronic diseases including cancer, diabetes, cardiovascular, neurological, inflammatory bowel disease and pulmonary diseases. Curcumin, a yellow coloring agent extracted from turmeric, shows strong anti-oxidative and anti-inflammatory activities when used as a remedy for the prevention and treatment of chronic diseases. How oxidative stress activates inflammatory pathways leading to the progression of chronic diseases is the focus of this review. Thus, research to date suggests that chronic inflammation, oxidative stress, and most chronic diseases are closely linked, and the antioxidant properties of curcumin can play a key role in the prevention and treatment of chronic inflammation diseases.
PMID: 26007179 📄 Download the PDF from VitaminDWiki
Natural Products for the Treatment of Type 2 Diabetes Mellitus July 2015
Planta Med. 2015 Aug;81(12-13):975-94. doi: 10.1055/s-0035-1546131. Epub 2015 Jul 1.
Ríos JL1, Francini F2, Schinella GR3.
1Departament de Farmacologia, Facultat de Farmàcia, Universitat de València, Burjassot, Valencia, Spain.
2Centro de Endocrinologia Experimental y Aplicada, Centro Científico Tecnológico, Consejo Nacional de Investigaciones Científicas y Técnicas (CONICET), La Plata, Argentina.
3Cátedra de Farmacología Básica, Facultad de Ciencias Médicas, Universidad Nacional de La Plata, La Plata, Argentina.
Type 2 diabetes mellitus is a metabolic disease characterized by persistent hyperglycemia. High blood sugar can produce long-term complications such as cardiovascular and renal disorders, retinopathy, and poor blood flow. Its development can be prevented or delayed in people with impaired glucose tolerance by implementing lifestyle changes or the use of therapeutic agents. Some of these drugs have been obtained from plants or have a microbial origin, such as galegine isolated from Galega officinalis, which has a great similarity to the antidiabetic drug metformin. Picnogenol, acarbose, miglitol, and voglibose are other antidiabetic products of natural origin. This review compiles the principal articles on medicinal plants used for treating diabetes and its comorbidities, as well as mechanisms of natural products as antidiabetic agents. Inhibition of α-glucosidase and α-amylase, effects on glucose uptake and glucose transporters, modification of mechanisms mediated by the peroxisome proliferator-activated receptor, inhibition of protein tyrosine phosphatase 1B activity, modification of gene expression, and activities of hormones involved in glucose homeostasis such as adiponectin, resistin, and incretin, and reduction of oxidative stress are some of the mechanisms in which natural products are involved. We also review the most relevant clinical trials performed with medicinal plants and natural products such as aloe, banaba, bitter melon, caper, cinnamon, cocoa, coffee, fenugreek, garlic, guava, gymnema, nettle, sage, soybean, green and black tea, turmeric , walnut, and yerba mate.
Compounds of high interest as potential antidiabetics are: fukugetin, palmatine, berberine, honokiol, amorfrutins, trigonelline, gymnemic acids, gurmarin, and phlorizin.
PMID: 26132858 📄 Download the PDF from VitaminDWiki
Curcumin: A Natural Product for Diabetes and its Complications - 2015
Curr Top Med Chem. 2015;15(23):2445-55.
Nabavi SF, Thiagarajan R, Rastrelli L, Daglia M, Sobarzo-Sanchez E, Alinezhad H, Nabavi SM1.
1Applied Biotechnology Research Center, Baqiyatallah University of Medical Sciences, Tehran, Iran. Nabavi208@gmail.com.
Curcumin is the yellow-colored bioactive constituent of the perennial plant, Curcuma longa L., which possesses a wide range of physiological and pharmacological properties such as antioxidant, anti-inflammatory, anticancer, neuroprotective and anti-diabetic activities. Anti-diabetic activity of curcumin may be due to its potent ability to suppress oxidative stress and inflammation. Moreover, it shows a beneficial role on the diabetesinduced endothelial dysfunction and induces a down-regulation of nuclear factor-kappa B. Curcumin possesses a protective role against advanced glycation as well as collagen crosslinking and through this way, mitigates advanced glycation end products-induced complications of diabetes. Curcumin also reduces blood glucose, and the levels of glycosylated hemoglobin in diabetic rat through the regulation of polyol pathway. It also suppresses increased bone resorption through the inhibition of osteoclastogenesis and expression of the AP-1 transcription factors, c-fos and c-jun, in diabetic animals. Overall, scientific literature shows that curcumin possesses anti-diabetic effects and mitigates diabetes complications. Here we report a systematical discussion on the beneficial role of curcumin on diabetes and its complications with emphasis on its molecular mechanisms of actions.
PMID: 26088351 Publisher wants $58 for the PDF
The beneficial role of curcumin on inflammation, diabetes and neurodegenerative disease: A recent update. Sept 2015
Food Chem Toxicol. 2015 Sep;83:111-24. doi: 10.1016/j.fct.2015.05.022. Epub 2015 Jun 9.
Ghosh S1, Banerjee S1, Sil PC2.
1Division of Molecular Medicine, Bose Institute, P-1/12, CIT Scheme VII M, Kolkata 700054, West Bengal, India.
2Division of Molecular Medicine, Bose Institute, P-1/12, CIT Scheme VII M, Kolkata 700054, West Bengal, India. parames@jcbose.ac.in.
The concept of using phytochemicals has ushered in a new revolution in pharmaceuticals. Naturally occurring polyphenols (like curcumin, morin, resveratrol, etc.) have gained importance because of their minimal side effects, low cost and abundance. Curcumin (diferuloylmethane) is a component of turmeric isolated from the rhizome of Curcuma longa.
Research for more than two decades has revealed the pleiotropic nature of the biological effects of this molecule.
More than 7000 published articles have shed light on the various aspects of curcumin including its
antioxidant,
hypoglycemic,
anti-inflammatory and
anti-cancer activities.
Apart from these well-known activities, this natural polyphenolic compound also exerts its beneficial effects by modulating different signalling molecules including transcription factors, chemokines, cytokines, tumour suppressor genes, adhesion molecules, microRNAs, etc.
Oxidative stress and inflammation play a pivotal role in various diseases like
diabetes ,
cancer,
arthritis,
Alzheimer's disease and
cardiovascular diseases.
Curcumin, therefore, could be a therapeutic option for the treatment of these diseases, provided limitations in its oral bioavailability can be overcome. The current review provides an updated overview of the metabolism and mechanism of action of curcumin in various organ pathophysiologies. The review also discusses the potential for multifunctional therapeutic application of curcumin and its recent progress in clinical biology.
Publisher wants $36 for the PDF
Efficacy of Turmeric as Adjuvant Therapy in Type 2 Diabetic Patients - April 2015
Indian J Clin Biochem. 2015 Apr;30(2):180-6. doi: 10.1007/s12291-014-0436-2. Epub 2014 May 8.
Maithili Karpaga Selvi N1, Sridhar MG1, Swaminathan RP2, Sripradha R1.
It is known that there is a significant interplay of insulin resistance, oxidative stress, dyslipidemia, and inflammation in type 2 diabetes mellitus (T2DM). The study was undertaken to investigate the effect of turmeric as an adjuvant to anti-diabetic therapy. Sixty diabetic subjects on metformin therapy were recruited and randomized into two groups (30 each). Group I received standard metformin treatment while group II was on standard metformin therapy with turmeric (2 g) supplements for 4 weeks. The biochemical parameters were assessed at the time of recruitment for study and after 4 weeks of treatment.
Turmeric supplementation in metformin treated type 2 diabetic patient significantly decreased
fasting glucose (95 ± 11.4 mg/dl, P < 0.001) and
HbA1c levels (7.4 ± 0.9 %, P < 0.05).
Turmeric administered group showed reduction in lipid peroxidation, MDA (0.51 ± 0.11 µmol/l, P < 0.05) and enhanced total antioxidant status (511 ± 70 µmol/l, P < 0.05). Turmeric also exhibited beneficial effects on dyslipidemia LDL cholesterol (113.2 ± 15.3 mg/dl, P < 0.01), non HDL cholesterol (138.3 ± 12.1 mg/dl, P < 0.05) and LDL/HDL ratio (3.01 ± 0.61, P < 0.01) and reduced inflammatory marker, hsCRP (3.4 ± 2.0 mg/dl, P < 0.05). Turmeric supplementation as an adjuvant to T2DM on metformin treatment had a beneficial effect on blood glucose, oxidative stress and inflammation.
Role of Curcumin in Common Musculoskeletal Disorders: a Review of Current Laboratory, Translational, and Clinical Data - Aug 2015
Orthop Surg. 2015 Aug;7(3):222-31. doi: 10.1111/os.12183.
Peddada KV1, Peddada KV2, Shukla SK3, Mishra A3, Verma V4.
1 St. Louis University School of Medicine, St. Louis, MO.
2 Johns Hopkins University School of Medicine, Baltimore, MD.
3 Eppley Institute for Research in Cancer and Allied Diseases, University of Nebraska Medical Center, Omaha, NE, USA.
4 Department of Radiation Oncology, University of Nebraska Medical Center, Omaha, NE, USA.
The Indian spice turmeric, in which the active and dominant biomolecule is curcumin, has been demonstrated to have significant medicinal properties, including anti-inflammatory and anti-neoplastic effects. This promise is potentially very applicable to musculoskeletal disorders, which are common causes of physician visits worldwide. Research at the laboratory, translational and clinical levels that supports the use of curcumin for various musculoskeletal disorders, such as
osteoarthritis,
osteoporosis,
musculocartilaginous disorders, and
sarcoma
is here in comprehensively summarized. Though more phase I-III trials are clearly needed, thus far the existing data show that curcumin can indeed potentially be useful in treatment of the hundreds of millions worldwide who are afflicted by these musculoskeletal disorders.
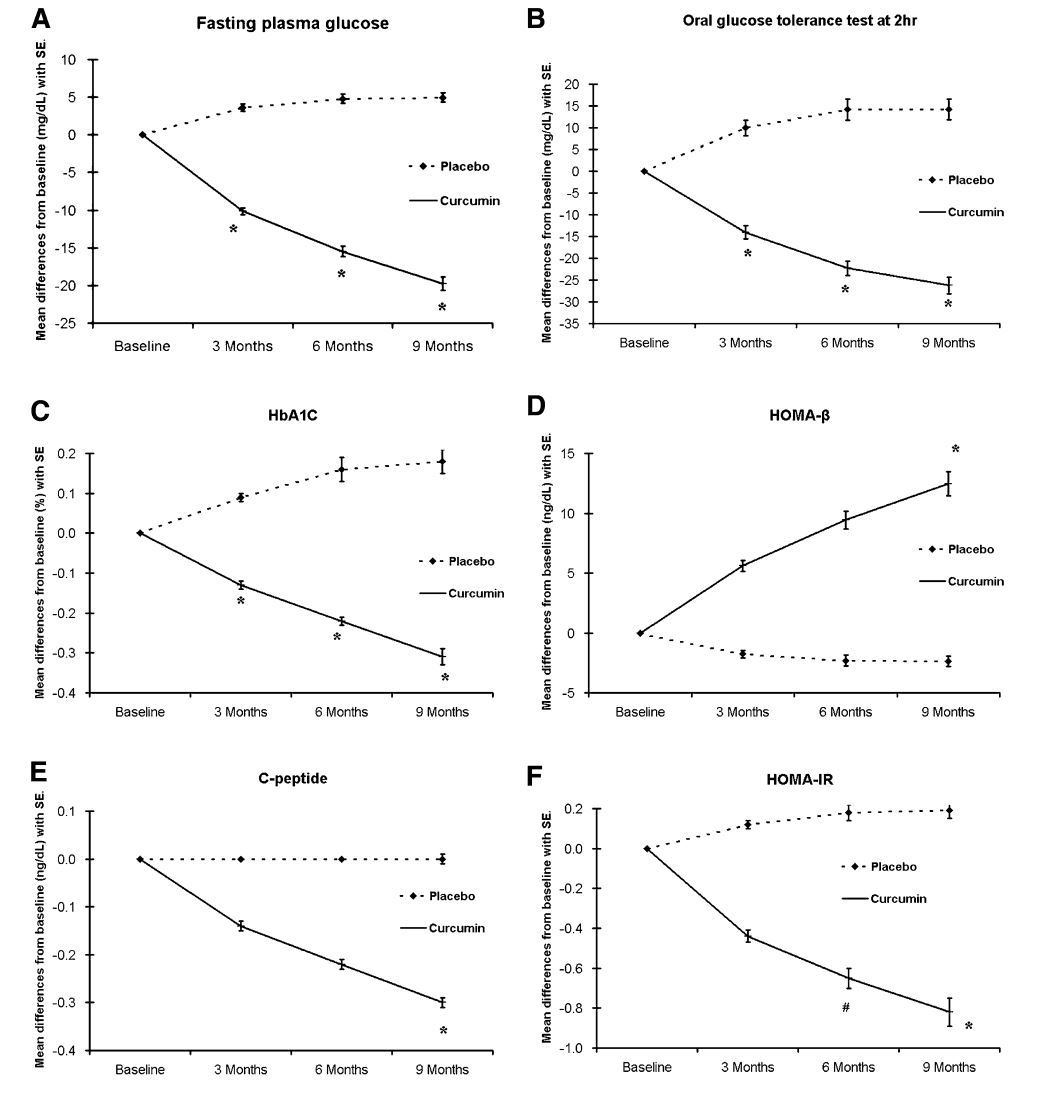
Turmeric Extract 100% Effective At Preventing Type 2 Diabetes - Aug 2013
GreenMedInfo Randomized Controlled Trial in Journal of American Diabetes Association, Aug 2013
Prediabetics: 9 month RCT with 250 mg, Curcumin 0% converted, without Curcumin 16% converted:
Curcumin at GreenMedInfo
21 articles on Curcumin and Diabetes
Curcumin and diabetes: a role for the vitamin D receptor? - Dec 2012
Br J Nutr. 2012 Dec 14;108(11):2104. doi: 10.1017/S0007114512004825. Epub 2012 Nov 1.
Boucher BJ.
Comment on: Curcumin-supplemented yoghurt improves physiological and biochemical markers of experimental diabetes. [Br J Nutr. 2012]
PMID: 23113921
Clipped from 1 page comment on the web

Alzheimer’s,vitamin D3 and curcumin - March 2012
Alzheimer’s may be treated by vitamin D3 and curcumin – March 2012
Recent Developments in Delivery, Bioavailability, Absorption and Metabolism of Curcumin - 2014

📄 Download the PDF from VitaminDWiki
Curcumin Extract for Prevention of Type 2 Diabetes - 2012
📄 Download the PDF from VitaminDWiki

Nanotechnology-Applied Curcumin for Different Diseases Therapy - 2014
Curcumin is a lipophilic molecule with an active ingredient in the herbal remedy and dietary spice turmeric. It is used by different
folks for treatment of many diseases. Recent studies have discussed poor bioavailability of curcumin because of poor absorption ,
rapid metabolism, and rapid systemic elimination.
Nanotechnology is an emerging field that is potentially changing the way we can treat diseases through drug delivery with curcumin. The recent investigations established several approaches to
improve the bioavailability,
to increase the plasma concentration, and
to enhance the cellular permeability processes of curcumin.
Several types of nanoparticles have been found to be suitable for the encapsulation or loading of curcumin to improve its therapeutic effects in different diseases. Nanoparticles such as liposomes, polymeric nanoparticles, micelles, nanogels, niosomes, cyclodextrins, dendrimers, silvers, and solid lipids are emerging as one of the useful alternatives that have been shown to deliver therapeutic concentrations of curcumin. This review shows that curcumin’s therapeutic effects may increase to some extent in the presence of nanotechnology. The presented board of evidence focuses on the valuable special effects of curcumin on different diseases and candidates it for future clinical studies in the realm of these diseases

📄 Download the PDF from VitaminDWiki
Diabetes associated with low vitamin D in virtually every study, but want more studies – July 2015
Diabetes associated with low vitamin D in virtually every study, but want more studies – July 2015
See also web
- Turmeric produces mind-blowing recovery from dementia symptoms, multiple case studies show Natural News, June 2013;
- refers to medical study: The effect of curcumin (turmeric) on Alzheimer's disease: An overview Jan 2008; full text on-line
What do Curcumin and Vitamin D Have in Common When it Comes to the Alzheimer’s Diet? March 2013 - a book
Turmeric—A “Universal” Cancer Treatment, and Much More Mercola May 2015
- Modulates about 700 of your genes
- Positively modulates more than 160 different physiological pathways
- Turmeric May Help Combat Alzheimer’s Disease and Other Inflammatory Conditions - video Sept 2014
- https://www.consumerlab.com/ has excellent review of Curcumin and turmeric supplements - including nano
- updated Aug 2015 - includes products with increased bio-availability of 5X, 27X and even 46X which was too much for me!
- Single report $18, subscription to scores of excellent reviews of supplements $36/year
Curcumin and Depression
- Groundbreaking Study Finds Turmeric Extract Superior to Prozac for Depression Green Med Info July 2013
- 6 week randomized controlled trial - virtually the same result
- Curcumin Has Antidepressive Effects in Thai Patients with Major Depression Jan 2018
- Improved benefit of conventional depression drugs about 2X
- PDF is at SicHub http://sci-hub.tw/10.1007/s12640-017-9860-4
- Curcumin in depressive disorders: An overview of potential mechanisms, preclinical and clinical findings Aug 2016
- Behind a paywall https://doi.org/10.1016/j.ejphar.2016.05.026
Associations:Omega-3, Zinc, Resveratrol, Supplement, Vitamin K, Magnesium, Vitamin B12, Vitamin C, Glutathione
Close Associations