All older women need vitamin D supplementation to get to even 20 ng (results of modeling)
Prediction of insufficient serum vitamin D status in older women: a validated model
Osteoporos Int (2018). https://doi.org/10.1007/s00198-018-4410-3
T. Merlijn tmerlijn@gmail.com, K. M. A. SwartP. LipsM. W. HeymansE. SohlN. M. Van SchoorC. J. NetelenbosP. J. M. Elders
📄 Download the PDF from VitaminDWiki
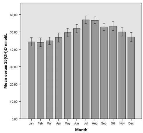
Seasonal variation in Vitamin D levels is NOT sinusoidal


- "However, in our data, the mean levels over 3 years show a pattern in which the rise of serum 25(OH)D in spring is steeper than the decrease in autumn, a narrow peak in summer and a wide dip in winter. The result of this pattern is that the optimal model does not exactly follow the seasons. The peak is in the months of July and August; the dip is from December until the end of April. The other months are between these summer and winter levels"
We developed an externally validated simple prediction model to predict serum 25(OH)D levels < 30, < 40, < 50 and 60 nmol/L in older women with risk factors for fractures. The benefit of the model reduces when a higher 25(OH)D threshold is chosen.
Introduction
Vitamin D deficiency is associated with increased fracture risk in older persons. General supplementation of all older women with vitamin D could cause medicalization and costs. We developed a clinical model to identify insufficient serum 25-hydroxyvitamin D (25(OH)D) status in older women at risk for fractures.
Methods
In a sample of 2689 women ≥ 65 years selected from general practices, with at least one risk factor for fractures, a questionnaire was administered and serum 25(OH)D was measured. Multivariable logistic regression models with backward selection were developed to select predictors for insufficient serum 25(OH)D status, using separate thresholds 30, 40, 50 and 60 nmol/L. Internal and external model validations were performed.
Results
Predictors in the models were as follows:
age,
BMI,
vitamin D supplementation,
multivitamin supplementation,
calcium supplementation,
daily use of margarine,
fatty fish ≥ 2×/week,
≥ 1 hours/day outdoors in summer,
season of blood sampling,
the use of a walking aid and
smoking.
The AUC was 0.77 for the model using a 30 nmol/L threshold and decreased in the models with higher thresholds to 0.72 for 60 nmol/L. We demonstrate that the model can help to distinguish patients with or without insufficient serum 25(OH)D levels at thresholds of 30 and 40 nmol/L, but not when a threshold of 50 nmol/L is demanded.
Conclusions
This externally validated model can predict the presence of vitamin D insufficiency in women at risk for fractures. The potential clinical benefit of this tool is highly dependent of the chosen 25(OH)D threshold and decreases when a higher threshold is used.