Age-Related Macular Degeneration - Diet, bionome, Vitamin D, CBD, Avastin, etc
Observations while under contruction as of March 2019
- AMD greatly increased recently
- perhaps due to poor nutrition
AMD greatly increased with smoking since the 1930's perhaps due to tobacco additives
AMD is more likely if have some genes
- but genes are much less of a risk factor than nutrition or smoking
Avastin ( a chemo drug) injections appear to nicely slowdown wet AMD progression
CBD treats both wet and dry AMD
- sublingual CBD works, Big Pharma has also patented CBD eye drops
- Vitamin D treats and prevents both wet and dry AMD
- generally using oral Vitamin D
Omega-3 treats wet AMD
Suggestions to prevent AMD
Eat organic food (more nutrition), supplement with Vitamin D, Omega-3, do not smoke
Additional suggestions to treat AMD
Get Avastin injections, Add CBD
AMD is due to poor diet (CURE AMD Foundation)
Dr. Chris Knobbe believes that an ancestral diet would prevent AMD
But it is virtually impossible to get a nutritionally complete ancestral diet in 2019
Modern day "Ancestral" food lack Magnesium, Vitamin D, Zinc, Vitamin K, Omega-3, etc.
Cure AMD Foundation
Electronic copy of his book costs only 50 cents
What Are the Best ‘Eye Vitamins’ for Macular Degeneration? - none
" macular degeneration was an extraordinary medical rarity, from 1851 until about 1930."
" Cochrane’s final conclusion reads as follows: “There is accumulating evidence that taking vitamin E or beta-carotene supplements will not prevent or delay the onset of AMD. There is no evidence with respect to other antioxidants supplements, such as vitamin C, lutein, zeaxanthin, or any of the commonly marketed multivitamin combinations.”
Annals of Internal Medicine in Nov 2017 commented on the Cochrane report
- Antioxident vitamin or mineral supplements do not prevent age-related macular degeneration
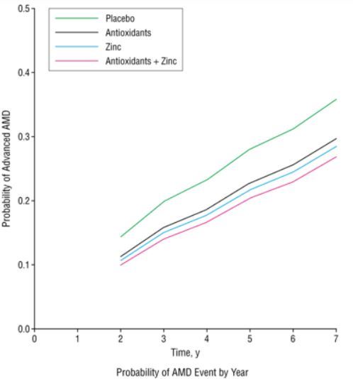
- "For those with category 3 or 4 macular disease, at 5 years from the onset of the study,
- the probability of progression to advanced AMD was
- 28% for those given placebo,
- 23% for those given antioxidants (vitamins E, C, and beta-carotene),
- 22% for those given zinc, and
- 20% for those given antioxidants and zinc (the AREDS formula)"
"And from this we get the Number Needed to Treat (NNT), which is also 13"
Weston Price 1 hour video - 2017 with slides and transcript
Genetic testing for AREDS - nope
AREDSslowed AMD progression by 3X for ~30% of people, but 50% faster progression for 30% of people

"If one has two copies of the CFH Y402H allele, they would develop wet AMD 2.8 years sooner, on average, compared to those who have no copies of the gene.[63] For those who have two copies of the ARMS2 A69S gene, they develop wet AMD 5.2 years sooner than an individual with no copies of the gene, again, on average"
"...in May of 2017, the Centers for Medicare and Medicaid Services (CMS) gave conditional approval for reimbursement of so-called pharmacogenetic testing for patients who have AMD" There is a CPT code
57X increase in AMD in Japan in 30 years
"...as compared to the Ancestral Diet, the relative risk of developing AMD with the SAD diet is 74-fold greater."
Genetic Testing in Persons with Age-Related Macular Degeneration and the Use of the AREDS Supplements; To Test or Not to Test? Jan 2015 📄 Download the PDF from VitaminDWiki
Company selling Macula gene tests to doctors
Macular Degeneration, Genes, and Grandma’s Vitamins: To test or not to test? Science Based Medicine, March 2018
Conflicts of interest by both the proponents and opponents to AREDS gene testing
Original data (and above chart?) was not statistically significant
A subsequent indepentant analysis of the data did not find any gene problem
-
- Probabiliy of AMD after 7 years: ~34% with placebo, ~23% with AREDS

AMD and Gut Bionome
- The Microbiome and Age-related Macular Degeneration
- "A study by Dr. Allen Taylor at Tufts shows that mice given a high sugar diet have an altered microbiome and develop features of AMD."
- "In addition, Dr. Mike Sapieha at University of Montreal and McGill University reported similar findings with a high-fat diet."
- Diet and Gut Bacteria: Their Connection to AMD
- 38 minute audio with transcript
- Importance of Gut Bacteria in a Model of AMD
- Interview of a researcher with $160,000 grant to study gut bacteria and AMD in mice, ending summer 2019
- Video with transcript
- "...my research suggests that modifying our diets to have a lower glycemic index, or a healthier dietary pattern, may have a dramatic effect on reducing AMD in populations. A six-unit change in dietary glycemic index, (ie, the equivalent of eating 5 pieces of whole-wheat bread instead of white bread) would save 100,000 people from developing AMD over 5 years."
- "In my most recent study, I showed that altering diet, even late in life, could completely prevent the onset of AMD"
Gut microbiota modify risk for dietary glycemia-induced age-related macular degeneration - April 2018
- doi: 10.1080/19490976.2018.1435247 - might be available on Sci-Hub
Intestinal microbiome proposed as a potential therapeutic target for AMD - Oct 2018
Is the microbiome the missing link in macular degeneration? May 2018
- "Association of the Intestinal Microbiome with the Development of Neovascular Age-Related Macular Degeneration" Jan 2017


CBD appears to treat AMD (via VEGF, etc)
Cannabis May Be Another Option for Reversing Early Macular Degeneration
Studies as of March 2019
One person took CBD for a tic problem and her AMD decreased
- Earlier she had stopped her AMD injections earlier
- Doctor said of her wet AMD "“The leaking in the blood vessel that causes lesions, bumps, swelling, etc. (which causes the loss of vision) was mostly gone.”
- "There are cannabinoid receptors in the eye area"
- "But cannabidiol has also been shown to be an anti-inflammatory specifically for the retina area"
- Cannabidiol (CBD) And Age-Related Macular Degeneration Oct 2018 both wet and dry
- CBD is an anti-inflammatory for the retinal area
- CBD is neuroprotective
- CBD is anti-angiogenesis
- CBD has anti-aging properties
- CBD inhibits VEGF growth (vascular endothelial growth factor), the growth of new blood vessels
- Same target as Avastin injections
- CBD lowers blood pressure
- CBD protects retina cells
- CBD reduces ocular pressure
MACULAR DEGENERATION – MEDICAL MARIJUANA RESEARCH OVERVIEW 2017
Mediation of Cannabidiol anti-inflammation in the Retina by Equilibrative Nucleoside Transporter and A2A Adenosine Receptor - Dec 2008 Download the PDF from VitaminDWiki
The Cannabinoid System (CB1 / CB2 Receptors): The Good + The Bad Self-Hacked, Jan 2018
- Excellent in- depth study
Cannabis meets Big Pharma Macular Degeneration ] Feb 2015
- For lowering eye pressure
- Medical Marijuana For Macular Degeneration
- "The ECS ( endocannabinoid system) has two different types of receptors — CB1 and CB2. While CB2 receptors occur throughout the peripheral nervous system and the immune system, CB1 receptors primarily cluster in the brain and spinal cord. When you consume cannabis, it enters the bloodstream and binds to either CB1 or CB2 receptors."
- " CBD mainly binds to CB2 receptors"
- "In a 2004 study of brain tumors, researchers found that cannabinoids blocked and inhibited VEGF pathways through the body, showing incredible promise for cannabis as a treatment for macular degeneration. THC seems to be especially effective at targeting VEGF progression
- Cannabinoids inhibit the vascular endothelial growth factor pathway in gliomas - 2004
- Cannabinoid nanoparticles, hydrogel combo bolster glaucoma drops? American Optometric Association April 2018
- Reducing glaucoma, eye pressure, another specifically about AMD
- Nano form got 3X more CBD into the eye
- Cannabidiol inhibits angiogenesis by multiple mechanisms - Nov 2012
Retina has both CBD1 and CBD2 receptors - 2016 (THC may help)
Expression and Function of the Endocannabinoid System in the Retina and the Visual Brain
📄 Download the PDF from VitaminDWiki


Avastin Injections slow wet AMD
- What Is Avastin (Bevacizumab)? Everyday Health
- Develped for various Cancers FDA approved for Colon Cancer in 2004, Off-label use for AMD
- has a very long list of side effects
- How Effective are Age-Related Macular Degeneration Treatments? has links to details
- "A recently published extension of the CATT study showed that, after five years,
- 50 % of patients receiving anti-VEGF injections had 20/40 vision or better in the treated eye;
- 20 % had 20/200 or worse;
- 30 % had vision somewhere between these two figures.
- Many patients did not require injections every month after the initial 2-year study period.
- Testamonials - 2013
Avastin helped by Vitamin D (for CRC, perhaps for AMD as well)
- SUNSHINE: High-dose vitamin D boosts PFS in metastatic CRC RCT June 2017
- "Results showed that those given FOLFOX chemotherapy and the antiangiogenic agent bevacizumab (Avastin) plus high-dose vitamin D had a one-third lower risk of progression or death "
- 8,000 IU/day for 2 weeks as a loading dose, followed by 4,000 IU/day.
- Higher Vitamin D Levels Associated With Markedly Improved Survival in Patients With Advanced Colorectal Cancer Jan 2015
Smoking and AMD
- Absorption of blue light by cigarette smoke components is highly toxic for retinal pigmented epithelial cells. - Feb 2019
- Arch Toxicol. 2019 Feb;93(2):453-465. doi: 10.1007/s00204-018-2344-3
- Tobacco smoke contains toxic polycyclic aromatic hydrocarbons that can accumulate in retina RPE and which absorb blue light
- "... we found IcdP to be at least 3000 times more toxic for RPE cells when irradiated with HEV light" (blue)
- See also in VitaminDWiki Smoking reduces vitamin D - many studies
See also VitaminDWiki
VitaminDWiki pages containing MACULAR or AMD in title (14 pages as of Sept 2021)
Vision category starts with
{include}
Seniors category start with
{include}
See also web
- Recent developments in age-related macular degeneration: a review - 2017, excellent