Weaker hand grip if poor Vitamin D Receptor (15 percent)
Muscle strength is associated with vitamin D receptor gene variants.
J Orthop Res. 2016 Nov;34(11):2031-2037. doi: 10.1002/jor.23220. Epub 2016 Mar 14.
Bozsodi A1,2, Boja S1, Szilagyi A1, Somhegyi A1, Varga PP1, Lazary A1.
š Download the PDF from VitaminDWiki

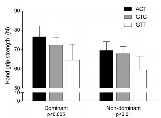
Vitamin D receptor (VDR) is an important candidate gene in muscle function. Scientific reports on the effect of its genetic variants on muscle strength are contradictory likely due to the inconsistent study designs. Hand grip strength (HGS) is a highly heritable phenotype of muscle strength but only limited studies are available on its genetic background. Association between VDR polymorphisms and HGS has been poorly investigated and previous reports are conflicting. We studied the effect of VDR gene variants on HGS in a sample of 706 schoolchildren. Genomic DNA was extracted from saliva samples and six candidate single nucleotide polymorphisms (SNPs) across the VDR gene were genotyped with Sequenom MassARRAY technique. HGS was measured with a digital dynamometer in both hands. Single marker and haplotype associations were adjusted for demographic parameters. Three SNPs, rs4516035 (A1012G; pā=ā0.009), rs1544410 (BsmI; pā=ā0.010), and rs731236 (TaqI; pā=ā0.038) and a 3' UTR haploblock constructed by three SNPs (Bsml-Taq1-rs10783215; pā<ā0.005) showed significantly associations with HGS of the dominant hand. In the non-dominant hand, the effects of the A1012G (pā=ā0.034) and the 3' UTR haploblock (pā<ā0.01) on HGS were also significant. Since the promoter SNP (A10112G) and the 3' UTR haplotype were proved to be associated with the expression and the stability of the VDR mRNA in earlier studies, VDR variants can be supposed to have a direct effect on muscle strength. The individual genetic patterns can also explain the inconsistency of the previously published clinical results on the association between vitamin D and muscle function.