Vitamin D and COVID-19: Video and PDF by Dr. Grant (includes recommendations)
📊 Download his PowerPoint from VitaminDWiki
📄 Download his PDF from VitaminDWiki
Outline
Observational studies of COVID-19 and 25(OH)D
2 “Quasi-experimental” studies of vitamin D supplementation of COVID-19 patients
2 RCTs of vitamin D treatment of COVID-19
Mechanisms of vitamin D in reducing COVID-19 risk
SARS-CoV-2 seropositivity with respect to 25(OH)D
Racial disparities of seropositivity related to 25(OH)D
Age effects on COVID-19 deaths
Seasonality of viral infections that peak in winter
Recommendations for vitamin D re COVID-19
For more information
3 of the slides
Recommendations
For health care workers dealing with COVID-19 patients;
For those at greatest risk of COVID-19
(elderly, obese, chronic diseases, lung diseases, high social contact);For those with recently diagnosed COVID-19 or SARS-CoV-2 seropositivity:
Consider taking 100,000-200,000 IU vitamin D3 within a week to rapidly raise 25(OH)D concentration,
followed by 4000 or 5000 IU/d or up to 50,000 IU/week.No adverse effects of high-dose vitamin D supplementation have been found for COVID-19 patients.
One-third of Mayo Clinic Staff are SARS-CoV-2 Seropositive, Nov. 17
ROCHESTER, Minn. — Over 900 Mayo Clinic staff have contracted COVID-19 in the past two weeks, according to a Tuesday briefing by Dr. Amy Williams, dean of clinical practice.
Williams said that 93 percent of staff who have contracted the virus did so in the community, and that the majority of those who contracted the virus at work did so while eating in a break room with a mask off.
“It shows you how easy it is to get COVID-19 in the Midwest,” said Williams, during an afternoon press call. “Our staff are being infected mostly due to community spread, and this impacts our ability to care for patients. We need everyone in the communities we serve to do their part to limit the spread of COVID-19.”
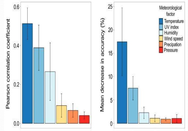
Low Temperature and Low UV Indexes Correlated
with Peaks of Influenza Virus Activity in Northern Europe during 2010⁻2018

Implications: Influenza rates are reduced in winter at high latitudes due to
lower temperature,
UV dose
humidity
giving rise to increased viability of the virus outside the human body.
See also VitaminDWiki
COVID-19 treated by Vitamin D - studies, reports, videos
{include}