Reducing fracture risk with calcium and 800 IU of vitamin D

Overview Table from PDF of fracture risk studies

image

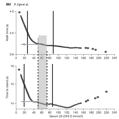
Good enough results for 20 to 30 ng/ml, gets worse above 60 ng/ml

image

[tiki-download_file.php?fileId=1452]