Psychiatric disorders 4X more likely in teens if low vitamin D
Low Levels of Vitamin D Linked to Teen Delusions, Hallucinations FoxNews
A group of researchers led by Dr. Barbara L. Gracious, a psychiatrist at Nationwide Children’s Hospital in Columbus, Ohio, presented data at that meeting showing that adolescents who were vitamin D deficient showed a fourfold (400 percent) increased rate of psychotic symptoms, compared to other adolescents with normal vitamin D levels who sought psychiatric treatment at the University of Rochester, in New York.
Vitamin D deficiency and psychotic features in mentally ill adolescents: a cross-sectional study.
BMC Psychiatry. 2012 May 9;12:38. doi: 10.1186/1471-244X-12-38.
Gracious BL, Finucane TL, Friedman-Campbell M, Messing S, Parkhurst MN.
Center for Innovation in Pediatric Practice, The Research Institute at Nationwide Children's Hospital and The Ohio State University, Columbus, OH 43205, USA. Barbara.gracious@nationwidechildrens.org
BACKGROUND: Vitamin D deficiency is a re-emerging epidemic, especially in minority populations. Vitamin D is crucial not only for bone health but for proper brain development and functioning. Low levels of vitamin D are associated with depression, seasonal affective disorder, and schizophrenia in adults, but little is known about vitamin D and mental health in the pediatric population.
METHODS: One hundred four adolescents presenting for acute mental health treatment over a 16-month period were assessed for vitamin D status and the relationship of 25-OH vitamin D levels to severity of illness, defined by presence of psychotic features.
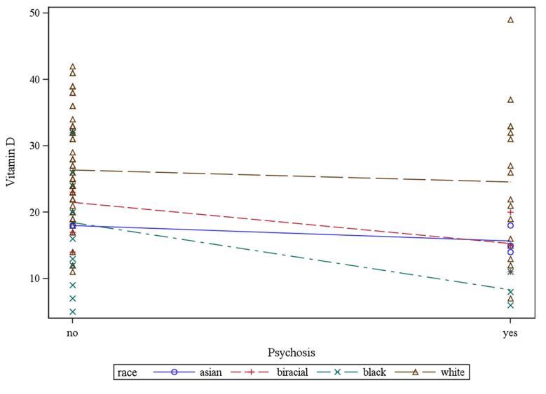
RESULTS: Vitamin D deficiency (25-OH D levels <20 ng/ml) was present in 34%; vitamin D insufficiency (25-OH D levels 20-30 ng/ml) was present in 38%, with a remaining 28% in the normal range.
Adolescents with psychotic features had lower vitamin D levels (20.4 ng/ml vs. 24.7 ng/ml; p=0.04, 1 df).
The association for vitamin D deficiency and psychotic features was substantial ( OR 3.5 ; 95% CI 1.4-8.9; p <0.009). Race was independently associated with vitamin D deficiency and independently associated with psychosis for those who were Asian or biracial vs. white ( OR=3.8 ; 95% CI 1.1‒13.4; p<0.04). Race was no longer associated with psychosis when the results were adjusted for vitamin D level.
CONCLUSIONS: Vitamin D deficiency and insufficiency are both highly prevalent in adolescents with severe mental illness. The preliminary associations between vitamin D deficiency and presence of psychotic features warrant further investigation as to whether vitamin D deficiency is a mediator of illness severity, result of illness severity, or both. Higher prevalence of vitamin D deficiency but no greater risk of psychosis in African Americans, if confirmed, may have special implications for health disparity and treatment outcome research.
PMID: 22571731

PDF is attached at the bottom of this page