Nitric oxide (from sun, Mg, Vit D, etc) reduces some health problems - many studies.
15+ VitaminDWiki pages with NITRIC OXIDE in the title
This list is automatically updated
{LIST()}
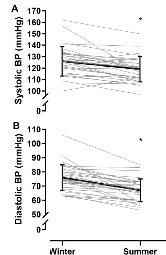
Low Nitric Oxide in winter may increase cardiovascular risk - Oct 2022
Reduced nitric oxide synthesis in winter: A potential contributing factor to increased cardiovascular risk
Nitric Oxide Volume 127, 1 October 2022, Pages 1-9 https://doi.org/10.1016/j.niox.2022.06.007
Luke Liddle ab Christopher Monaghan a Mia C.Burleigh a Katarzyn a A.Baczynsk ac David J.Muggeridge d ChrisEaston a


📄 Download the PDF from VitaminDWiki
Highlights
Ultraviolet radiation (UVR) mobilise skin stores of nitric oxide metabolites.
In this cohort of U.K. adults, UVR exposure was greater in summer than in winter.
Plasma nitrite concentration was higher and blood pressure lower in the summer.
A lower availability of nitric oxide may increase cardiovascular risk in winter months.
Background
Nitric oxide is a key signalling molecule that elicits a range of biological functions to maintain vascular homeostasis. A reduced availability of nitric oxide is implicated in the progression of cardiovascular diseases and increases the risk of pathogenic events.
Aims
To compare the concentration of nitric oxide metabolites in healthy adults between winter and summer months.
Design
An observational study of healthy adults (age 32 ± 9 years) living in central Scotland.
Methods
Thirty-four healthy adults (13 females) were monitored for 7 days in summer and winter to record sunlight exposure (ultraviolet-A (UV-A) radiation), diet, and physical activity. At the end of each phase, blood pressure was measured, and samples of blood and saliva collected. The samples were analysed to determine the concentrations of plasma and salivary nitrate and nitrite and serum 25-hydroxyvitamin D (25(OH)D).
Results
The participants maintained similar diets in each measurement phase but were exposed to more UV-A radiation (550%) and undertook more moderate-vigorous physical activity (23%) in the summer than in winter. Plasma nitrite (46%) and serum 25(OH)D (59%) were higher and blood pressure was lower in the summer compared to winter months. Plasma nitrite concentration was negatively associated with systolic, diastolic, and mean arterial blood pressure.
Conclusions
Plasma nitrite, an established marker of nitric oxide synthesis, is higher in healthy adults during the summer than in winter. This may be mediated by a greater exposure to UV-A which stimulates the release of nitric oxide metabolites from skin stores. While it is possible that seasonal variation in nitric oxide availability may contribute to an increased blood pressure in the winter months, the overall impact on cardiovascular health remains to be determined.
40% less Nitric Oxide produced by seniors - Dec 2023
forty young (20-49 years) and older (50-75 years)
whole-body NO production was significantly greater in young compared with older participants
(0.61±0.30μmol·hr-1·kg-1vs 0.39±0.10μmol·hr-1·kg-1, p=0.01)
Light-induced nitric oxide release in the skin beyond UVA and blue light: Red & near-infrared wavelengths - Dec 2021
Nitric Oxide (journal) Volume 117 1 December 2021, Pages 16-25
A.C. Barolet a b. I.V. Litvinov a b c, D. Barolet b d https://doi.org/10.1016/j.niox.2021.09.003 📄 PDF
Highlights
This extensive review summarizes light-induced nitric oxide (NO) release mechanisms in the skin.
Established UVA and blue light spectra are capable of releasing NO in human skin through enzymatic and non-enzymatic pathways.
Alternatively, the use of safer non-ionizing wavelengths in the red / near-infrared spectra can also release cutaneous NO, presumably using enzymatic pathways.
A brief overview on rising polymeric NO donors promoting skin NO release explains potential medical applications.
Lastly, most recent light-induced therapeutic approaches and biomedical applications involving NO release are portrayed, with their potential local and distant effects in the body.

Nitric Oxide from UVA ![]() |
**Nitric Oxide from IR |
Note: There is a lot more IR than UVA** ![]() |
The Remarkable Potential of Humming to STOP the Pandemic - Jan 2024
Asked Perplexity AI: What generated the most Nitric Oxide: The sun, humming, or breathing thru the nose?
April 2024 includes references
The generation of nitric oxide (NO) can be influenced by various factors including sun exposure, humming, and nasal breathing. Each of these activities stimulates NO production in different ways and contexts.
- Sun Exposure:
- Sun exposure, particularly to ultraviolet A (UVA) radiation, induces the release of nitric oxide from the skin. Studies have shown that low-dose sunlight exposure does not significantly increase cell death or DNA damage, which is beneficial for safely increasing NO production4516. The skin releases nitric oxide when exposed to UVA sunlight, and this process continues to produce NO even hours after the initial exposure5. This suggests that sun exposure can be a potent inducer of nitric oxide due to the direct activation of NO synthesis in the skin.
- Humming:
- Humming significantly increases nasal nitric oxide production. The act of humming creates oscillations that are thought to enhance air exchange between the nasal passages and the paranasal sinuses, thereby increasing the release of nitric oxide 10 13 18. Studies have quantified this increase, noting that humming can raise nasal NO levels by up to 15 to 20 times compared to silent breathing 13 18.
- Nasal Breathing:
- Nasal breathing naturally produces nitric oxide, which is beneficial for various physiological functions including oxygen circulation in the body8. The nose acts as a reservoir for nitric oxide, and nasal breathing helps in releasing this NO into the respiratory tract, aiding in functions such as blood vessel dilation and lowering blood pressure78. However, the increase in NO levels from regular nasal breathing, while significant for physiological health, is generally less dramatic compared to the increases seen with humming.
In summary, while all three activities contribute to the production of nitric oxide, humming results in the highest immediate increase in nitric oxide levels, specifically in the nasal passages. Sun exposure also significantly promotes NO production but does so primarily in the skin and continues over a longer duration post-exposure. Nasal breathing consistently produces NO but at lower levels compared to the acute increases observed with humming.
15X increase in Nitric Oxide with nasal breathing - video
See also web
Associations between Aging and Vitamin D Status with Whole-Body Nitric Oxide Production and Markers of Endothelial Function Feb 2024, PDF behind paywall
Chapter 3 - Photobiology of vitamin D Michael F. Holick. Andrzej T. Slominski 2024 PDF behind paywall
- "...Exposure to sunlight also provides other health-related benefits that are independent of vitamin D production. These include activation of central neuroendocrine mediators including activation of hypothalamus-pituitary-adrenal axis (HPA) or its elements and production of nitric oxide . The latter would lead to a reduction of blood pressure. The goal of this chapter is to provide a broad overview on the role of sunlight in providing vitamin D and other health benefits including action of pro-vitamin D3 derivatives or vitamin D-independent effects."
Are Vitamin D Supplements an Adequate Substitute for Sun Exposure? March 2023 FREE PDF
Photobiomodulation and nitric oxide signaling - Jan 2023 FREE PDF
Highlights (NO from IR)
Photobiomodulation (PBM) augments nitric oxide (NO) bioavailability via multiple mechanisms.
PBM reverses endothelial dysfunction via augmenting NO bioavailability and can be used to treat cardiovascular diseases.
Near-infrared (NIR) light in the NIR-II window (1000–1700 nm), which penetrates biological tissue deeper, shows PBM.
NIR-II light augments NO bioavailability via activation of endothelial NO synthase (eNOS).
Biological functions of nitric oxide Wikipedia
"It is a powerful vasodilator with a half-life of a few seconds in the blood."
"... nitric oxide was proclaimed "Molecule of the Year" in 1992"
...1998 Nobel Prize for elucidating the role of nitric oxide as a cardiovascular signalling molecule."
"Viagra, stimulates erections primarily by enhancing signaling through the nitric oxide pathway. "
"Nitroglycerin and amyl nitrite serve as vasodilators because they are converted to nitric oxide in the body."
How to Test Nitric Oxide Levels July 2022 nitric oxide test strips.
Nitric Oxide Modulation Of Blood Pressure (Part 1) biohacker
Nitric oxide signaling in health and disease - Aug 2022, Pages 2853-2878 FREE PDF
Nitric oxide in cellular adaptation and disease - July 2020 FREE PDF
Functions and dysfunctions of nitric oxide in brain - Aug 2019, Pages 1949-1967 FREE PDF
Four weeks of vitamin D supplementation improves nitric oxide-mediated microvascular function in college-aged African Americans - OCT 2020 📄 Download the PDF from VitaminDWiki


