NB UVB increased vitamin D levels while decreasing psoriasis and CYP27A1
Narrow-band ultraviolet B treatment boosts serum 25-hydroxyvitamin D in patients with psoriasis on oral vitamin D supplementation.
Acta Derm Venereol. 2014 Mar;94(2):146-51. doi: 10.2340/00015555-1685.
Ala-Houhala MJ1, Karppinen T, Vähävihu K, Kautiainen H, Dombrowski Y, Snellman E, Schauber J, Reunala T.



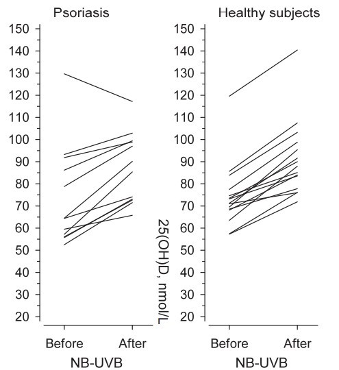
A course of treatment with narrow-band ultraviolet B (NB-UVB) improves psoriasis and increases serum 25-hydroxyvitamin D (25(OH)D). In this study 12 patients with psoriasis who were supplemented with oral cholecalciferol, 20 µg daily, were given a course of NB-UVB and their response measured. At baseline, serum 25(OH)D was 74.14 ± 22.9 nmol/l. At the 9th exposure to NB-UVB 25(OH)D had increased by 13.2 nmol/l (95% confidence interval (95% CI) 7.2-18.4) and at the 18th exposure by 49.4 nmol/l (95% CI 35.9-64.6) above baseline. Psoriasis Area Severity Index score improved from 8.7 ± 3.5 to 4.5 ± 2.0 (p < 0.001). At baseline, psoriasis lesions showed low vitamin D metabolizing enzyme (CYP27A1, CYP27B1) and high human β-defensin-2 mRNA expression levels compared with those of the healthy subjects. In conclusion, NB-UVB treatment significantly increases serum 25(OH)D in patients with psoriasis who are taking oral vitamin D supplementation, and the concentrations remain far from the toxicity level. Healing psoriasis lesions show similar mRNA expression of vitamin D metabolizing enzymes, but higher antimicrobial peptide levels than NB-UVB-treated skin in healthy subjects.
PMID: 23995795
See also VitaminDWiki
Pages listed in BOTH the categories Psorasis and UV
{category}