Each COVID reinfection causes more severe disease in miltary veterans (independant of vaccination)
Each SARS-CoV-2 reinfection causes more severe disease - June 20, 2022
đź“„ Preprint PDF for some reason, does NOT include images
Based on records from US Veterans Affairs - the 38,926 (seniors?) who had reported 2 infections
Note: Does not include those who had so mild of a 2nd infection that they did not bother to report it.

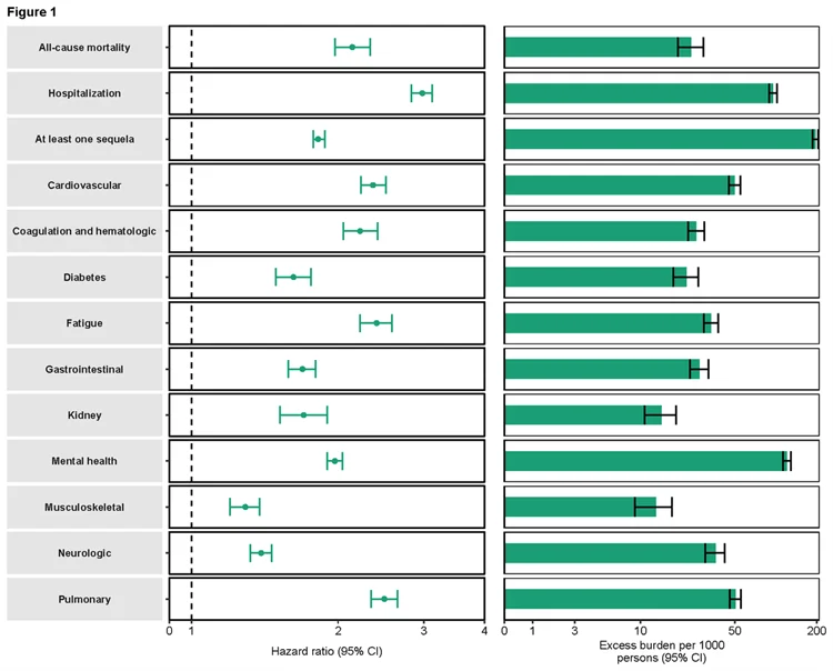
Risk and burden of sequelae in people with SARS-CoV-2 reinfection vs one infection. Risk and 6-month excess burden of all-cause mortality, hospitalization, at least one sequela, and sequelae by organ system are plotted. Incident outcomes were assessed from reinfection to end of follow-up. Results are in comparison of SARS-CoV-2 reinfection (n=38,926) to first SARS-CoV-2 infection (n=257,427). Adjusted hazard ratios (dots) and 95% confidence intervals (error bars) are presented, as are estimated excess burden (bars) and 95% confidence intervals (error bars). Burdens are presented per 1000 persons at 6 months of follow-up from time of reinfection.

Risk and burden of sequelae in people with SARS-CoV-2 reinfection vs one infection by vaccination status prior to second infection. Risk of all-cause mortality, hospitalization, at least one sequela, and sequelae by organ system are plotted. Incident outcomes were assessed from reinfection to end of follow-up. Results are in comparison of SARS-CoV-2 reinfection (n=38,926) to first SARS-CoV-2 infection (n=257,427). At time of comparison, there were 69.49%, 9.09%, and 21.42% with no, one, and two or more vaccinations, respectively, among those with reinfection. At time of comparison, there were 59.86%, 9.18%, and 30.96% with no, one, and two or more vaccinations, respectively, among the first reinfection group. Adjusted hazard ratios (dots) and 95% confidence intervals (error bars) are presented.
"...those with repeat SARS-CoV-2 infection exhibited an increased risk of fatigue (HR=2.02)."
Comments and observations
A reader's comment
Keep in mind that a second SARS-CoV infection was ASSOCIATED with an increase in "all-cause mortality, hospitalization, and least one sequelae...". However, it doesn't mean that the second infection "caused" that increase. It may simply be that individuals who are already less healthy (and thus more likely to have bad outcomes from any disease) are also more likely to get a second SARS-CoV infection.
Note: military start off much healthier than the general public
"Of the 17-24 year old men who wanted to join the US Army, 75% were disqualified due to underlying health issues, the number one reason being… they were obese"
"Of the remaining 25% that did qualify… 60% could not pass the Physical Training test applied to all candidates on day 1 of basic training"
- Assuming that 10% never even applied because they knew they were not healthy enough, it appears that the military are healthier than ~90% of the general public.
Each COVID-19 Reinfection Increases Health Risks - July 7, 2022
""Obviously these findings are worrisome since reinfection was quite rare before the Omicron wave hit, at 1% or less through the Delta variant wave. But now reinfections have become much more common," he (Topol) says."
"It makes sense, and let me explain why,” Mokdad says. “When you have somebody who got COVID-19 the first time and was impacted by it, maybe someone who was older or who had a chronic condition, the next hit would also cause more damage."
COVID Reinfection Outcomes Are Not Good (Preprint Study) - 29 minute video July 5, 2022

1195 comments as of July 10, 2022
VitaminDWiki - studies in both categories Virus and Seniors
This list is automatically updated
{category}