Dementia risks reduced by Vitamin D
Vitamin D supplementation and incident dementia: Effects of sex, APOE, and baseline cognitive status



Alzheimer's Dement. 2023;15:e12404. https://doi.org/10.1002/dad2.12404
Maryam Ghahremani1,2 I Eric E. Smith2,3,4 I Hung-Yu Chen1,2 Zahra Goodarzi2,3,6 I Zahinoor Ismail1,2,3,4,5,6 ismailz@ucalgary.ca; z.ismail@exeter.ac.uk Byron Creese5
1 Department of Psychiatry, Cumming School of Medicine, University of Calgary, Calgary, Alberta, Canada
2 Hotchkiss Brain Institute, Cumming School of Medicine, University of Calgary, Calgary, Alberta, Canada
3 Department of Community Health Sciences, University of Calgary, Calgary, Alberta Canada
4 Department of Clinical Neurosciences, Cumming School of Medicine, University of Calgary, Calgary, Alberta,Canada
5 College of Medicine and Health, University of Exeter Medical School, University of Exeter, Exeter, UK
6 O'Brien Institute of Public Health, University of Calgary, Calgary, Alberta, Canada
Dementia 40 percent less-likely in seniors supplementing with Vitamin D - VitaminDWiki summary
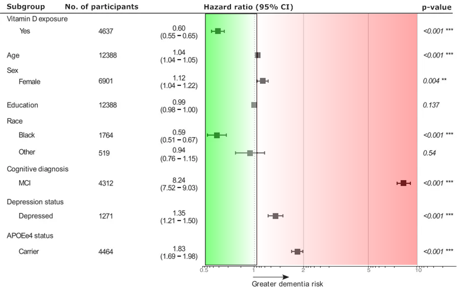
Introduction: Despite the association of vitamin D deficiency with incident dementia, the role of supplementation is unclear. We prospectively explored associations between vitamin D supplementation and incident dementia in 12,388 dementia-free persons from the National Alzheimer's Coordinating Center.
Methods: Baseline exposure to vitamin D was considered D+; no exposure prior to dementia onset was considered D-. Kaplan-Meier curves compared dementiafree survival between groups. Cox models assessed dementia incidence rates across groups, adjusted for age, sex, education, race, cognitive diagnosis, depression, and apolipoprotein E (APOE) z4. Sensitivity analyses examined incidence rates for each vitamin D formulation. Potential interactions between exposure and model covariates were explored.
Results: Across all formulations, vitamin D exposure was associated with significantly longer dementia-free survival and lower dementia incidence rate than no exposure (hazard ratio = 0.60, 95% confidence interval: 0.55-0.65). The effect of vitamin D on incidence rate differed significantly across the strata of sex, cognitive status, and APOE z4 status.
Discussion: Vitamin D may be a potential agent for dementia prevention.
📄 Download the PDF from VitaminDWiki
VitaminDWiki - Dementia is associated with low vitamin D - many studies 60 as of Aug 2024
VitaminDWiki – Cognitive category contains
{include}