Calcium supplements proven to NOT reduce fractures, but are proven to INCREASE heart problems
Calcium supplements: benefits and risks - July 2015
Journal of INTERNAL MEDICINE, doi: 10.1111/joim.12394
I. R. Reid1’2 i.reid@auckland.ac.nz, S. M. Bristow1 & M. J. Bolland1
1 Faculty of Medical and Health Sciences, University of Auckland, Auckland; and
2 Department of Endocrinology, Auckland District Health Board, Auckland, New Zealand
Calcium is an essential element in the diet, but there is continuing controversy regarding its optimal intake, and its role in the pathogenesis of osteoporosis. Most studies show little evidence of a relationship between calcium intake and bone density, or the rate of bone loss. Re-analysis of data from the placebo group from the Auckland Calcium Study demonstrates no relationship between dietary calcium intake and rate of bone loss over 5 years in healthy older women with intakes varying from <400 to >1500 mg day-1 . Thus, supplements are not needed within this range of intakes to compensate for a demonstrable dietary deficiency, but might be acting as weak anti-resorptive agents via effects on parathyroid hormone and calcitonin. Consistent with this, supplements do acutely reduce bone resorption and produce small short-term effects on bone density, without evidence of a cumulative density benefit. As a result, anti-fracture efficacy remains unproven, with no evidence to support hip fracture prevention (other than in a cohort with severe vitamin D deficiency) and total fracture numbers are reduced by 0-10%, depending on which meta-analysis is considered.
Five recent large studies have failed to demonstrate fracture prevention in their primary analyses . This must be balanced against an increase in gastrointestinal side effects (including a doubling of hospital admissions for these problems), a 17% increase in renal calculi and a 20-40% increase in risk of myocardial infarction. Each of these adverse events alone neutralizes any possible benefit in fracture prevention. Thus, calcium supplements appear to have a negative risk-benefit effect, and so should not be used routinely in the prevention or treatment of osteoporosis.
📄 Download the PDF from VitaminDWiki
Introduction
Calcium is an essential element in the human diet; however, there has long been controversy regarding its optimal intake, and the significance of calcium deficiency in the pathogenesis of osteoporosis. In the 1940s, Albright proposed that, while calcium and vitamin D deficiency would result in osteomalacia, postmenopausal osteoporosis was a result of sex hormone deficiency, and unrelated to calcium nutriture [1]. Consistent with this, populations in which levels of calcium intake were very low did not appear to suffer poorer bone health or greater rates of fracture [2-5]. In 1953, the recommended intake of calcium in the USA and Canada was lowered from 1000 to 800 mg day-1 [6, 7]. In a report in 1962, the World Health Organization (WHO) and the Food and Agriculture Organization of the United Nations (FAO) [8] concluded that ‘Most apparently healthy people - throughout the world - develop and live satisfactorily on a dietary intake of calcium which lies between 300 mg and over 1000 mg a day. There is so far no convincing evidence that, in the absence of nutritional disorders and especially when the vitamin D status is adequate, an intake of calcium even below 300 mg or above 1000 mg a day is harmful’. Based on this report, in 1974, the FAO and WHO recommended even lower intakes of calcium for adults of 400-500 mg day-1 [9].
In the decades following this report, opinions shifted, and an inadequate intake of calcium became regarded, particularly in North America, as having an important role in the pathogenesis of osteoporosis. The results of an influential series of calcium balance studies indicated that intakes below 1000-1500 mg day-1 were inadequate to replace obligatory calcium losses in women [10, 11]. These studies were followed by trials demonstrating beneficial effects of calcium supplements on bone density [12, 13], and of calcium plus vitamin D on fractures [14, 15]. As a result, in the USA and Canada, the recommended adequate intake of calcium for adults aged >50 years was raised to 1200 mg day-1 in 1997 [16], and in 2002, the FAO and WHO recommended intakes of calcium for postmenopausal women and men over 65 years of 1300 mg day-1 [17]. However, in the UK, recommended intakes remained at 700 mg day-1 for all adults [18]. These recommended levels of intake were above what most older adults were able to consume in their diets, so resulted in the widespread promotion of calcium supplements. With recent questions relating to the safety of calcium supplements, the focus has returned to the diet as the preferred source of this element [19, 20]. Therefore, achieving an optimal dietary calcium intake is again a central issue when advising patients at risk of osteoporotic fractures. Here, we will review the evidence relating to dietary calcium requirement, before considering the advantages and disadvantages of supplement use.
What is the optimal calcium intake?
In recent years, many government and professional organizations with an interest in bone health have made further recommendations for optimal calcium intakes, most of which have been based primarily on the results of calcium balance studies. The most prominent recent such recommendations are from the Institute of Medicine in 2010 , which again rely heavily on balance data.
Calcium balance studies
The balance studies of Heaney and colleagues have been particularly influential [10, 11]. Among 168 perimenopausal nuns, they found that calcium balance was closely related to calcium intake, which is not surprising as balance is directly derived by subtracting intake from output. When the participants were grouped according to menopausal status and use of oestrogen, the intake associated with zero balance was 990 and 1504 mg day-1 in premenopausal and untreated postmenopausal women, respectively. The latter figure, derived from studies of early postmenopausal women, became a generalized recommendation to all postmenopausal women.
More recently, Hunt and Johnson examined data from a series of balance studies, which together included 73 women aged 20-75 years (mean 47 years) and 82 men aged 19-64 years (mean 28 years) [23]. The calcium intake predicted to produce a neutral calcium balance was 741 mg day-1, regardless of age or sex. Even though about half the women were over 50 years, this value is very different from the 1500 mg day-1 suggested for postmenopausal women in the earlier balance studies [11]. Hunt and Johnson concluded:
... that calcium balance was highly resistant to a change in calcium intake across a broad range of typical dietary calcium intakes (415-1740 mg/d; between the ~25th and >99th percentiles of typical calcium intake for all female children and adults aged >9 year). In other words, homeostatic mechanisms for calcium metabolism seem to be functional across a broad range of typical dietary calcium intakes to minimize calcium losses and accumulations.
As fracture incidence is the clinical endpoint that may or may not be influenced by calcium intake, calcium balance is only a valid surrogate measure if it can be shown to be related to fracture risk. There is little direct evidence to suggest that this is the case, although it has been assumed that positive or negative calcium balance reflects gain or loss of bone density, respectively. This assumption might not be valid. The introduction of bone densitometry in the 1980s has permitted the accurate measurement of bone density, which does indeed predict fracture risk [24]. Bone densitometry demonstrates that there is ongoing loss of bone in postmenopausal women with high calcium intakes [25]. By contrast, calcium balance studies suggest that calcium intakes >1500 mg in postmenopausal women are associated with positive calcium balance [11] and that an intake of 2000 mg day-1 achieves a balance of +460 mg day-1 [26]; if correct, this would result in a doubling of total body calcium over a period of several years. Thus, calcium balance does not appear to reflect bone balance, possibly because of inaccuracies in the calculation of balance, or because calcium can accumulate outside the skeleton, particularly in elderly individuals and in those with renal failure [26]. The deficiencies of the balance technique have been reviewed previously [27].
Calcium intake and bone density
Because defining optimal dietary calcium intake is increasingly important with regard to public health policy for osteoporosis prevention, techniques other than calcium balance are needed. From cross-sectional studies, there is little evidence of a relationship between bone density and calcium intake [28-32]. A more sophisticated use of bone densitometry is the sequential measurement of bone density over time, which permits the direct assessment of bone balance, obviating the problems associated with calcium balance as a surrogate. Relating bone balance to calcium intake provides a sounder basis for determining optimal calcium intake. A number of studies have investigated the relationship between bone loss and dietary calcium intake in adults (see Table 1).
Table 1

In most studies, no relationship was found between calcium intake and bone loss at any site [33-39]. One study showed a null relationship at the femoral neck, but a weak negative relationship at the lumbar spine in women only [40]. Of those that demonstrated a beneficial effect of higher calcium intakes, none produced consistent results across the principal measurement sites (lumbar spine and femoral neck) in the primary analyses. A trend towards lower rates of bone loss with higher calcium intakes at the femoral neck in men but not in women was found in one study [41], while another showed some effects in premenopausal but not postmenopausal women [42]. Sirola et al. reported an association at the lumbar spine in women who had never smoked (and at the femoral neck after adjustment for several covariates), but not in women who had ever smoked, or in the groups combined [43]. Finally, one small, 6-month study demonstrated a greater rate of bone loss only among women with very low calcium intakes (<406 mg day-1) compared with those with the highest levels of intake (>776 mg day-1) [44].
Auckland calcium study
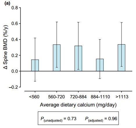
We have reinvestigated the question of whether calcium intake influences bone balance, using data from the placebo group of a 5-year clinical trial, the Auckland Calcium Study. A total of 570 healthy postmenopausal women aged >55 years (>5 years postmenopausal), who were not receiving therapy for osteoporosis or taking calcium supplements, were included in this analysis. Bone mineral density (BMD) and content of the spine, hip and total body were measured three times over 5 years. Mean calcium intake (based on a validated food frequency questionnaire) of the whole group was 840 mg day-1; the means for the first and fifth quintiles were 425 and 1344 mg day-1, respectively. Baseline BMD was not related to quintile of calcium intake at any site, before or after adjustment for covariables. There was no relationship between bone loss and quintile of calcium intake at any site, with or without adjustment for covariables (Fig. 1). The change in total body bone mineral content was also unrelated to an individual’s calcium intake (P = 0.53; Fig. 2). For comparison, Fig. 2 also shows the changes in total body bone mineral content that would be predicted from the calcium balance results of Heaney et al. [11]. The calcium balance data were converted to changes in bone mineral content based on calcium constituting 40% of hydroxyapatite [45]. The slope of this calcium balance line lies outside the confidence intervals for the regression line for total body bone mineral content. These marked differences suggest that calculated calcium balance does not reflect actual bone mineral balance. A total of 109 fractures occurred during follow-up, but fracture incidence was also unrelated to quintile of calcium intake.
It is interesting to note that calcium intake using this questionnaire was inversely correlated with circulating parathyroid hormone level in postmenopausal women (P < 0.01) [46] and in a cohort of older men (Bolland, unpublished observations). The fact that calcium intake is related to parathyroid hormone levels but not to rates of bone loss reflects the efficiency of the homeostatic mechanisms involved. Parathyroid hormone regulates intestinal calcium absorption (via vitamin D hydroxylation) causing high fractional calcium absorption in individuals with low intakes, and vice versa. This conclusion is very similar to that reached by Hunt and Johnson, as discussed above, that homeostatic mechanisms insulate bone health from the effects of varying dietary calcium intakes.
Thus, from an international perspective, populations in Asia and Africa maintain good bone health on calcium intakes of about 300 mg day-1, and European populations with high intakes of dairy products are protected from the sequelae of calcium overload (soft tissue calcification and renal calculi) despite having 4- to 5-fold higher intakes.
The present analysis differs from previously published studies in that it involves over 500 women who were not using calcium supplements or other bone-active medications, followed over a 5-year period with multiple bone density measurements at multiple sites, including the total body. Further, calcium intake was assessed at the beginning and end of the study, rather than only at the outset. Together with the already published data, this provides a body of evidence indicating that calcium intakes of between 400 and 1500 mg day-1 do not influence rates of postmenopausal bone loss. Consistent with these findings, calcium intake has not generally been found to be predictive of fracture risk [47-51]; this is reflected in its absence from the fracture risk calculators in routine clinical use (FRAX and the Garvan Fracture Risk Calculator).
Benefits of calcium supplements
Bone density
Ingestion of a calcium bolus, in the form of a supplement, acutely increases circulating calcium concentrations and reduces parathyroid hormone levels and markers of bone resorption, with a decline in bone formation markers 2-3 months later (Fig. 3). This produces a benefit to bone density of about 0.5-1% in the hip and spine, mostly in the first year of treatment [52]. In most
trials, no relationship was found between individuals’ baseline dietary calcium intake and their bone density response [25, 53]. In general, calcium doses >1000 mg day-1 have been used in supplement studies [54]. Doses of 250-600 mg day-1 have been found to produce no or minimal effects on BMD [55, 56], except in individuals with very low calcium intakes [12, 57]. Collectively, these findings suggest that calcium supplements act as weak anti-resorptive agents, reducing bone turnover whatever the baseline calcium intake, and producing a one-off gain in bone density as a result of filling-in of some of the osteoclastic resorption sites. This, however, does not produce cumulative benefits in terms of bone mass.
Fractures
F1a

Fig. 1 Mean annual change (A) in spine and hip bone mineral density (BMD) over 5 years (calculated from individual regression lines) in normal postmenopausal women, as a function of quintile of average calcium intake assessed at baseline and year 5 by a validated food frequency questionnaire [91]. There were no significant effects of quintile of calcium intake on bone loss before or after adjustment for height, weight, age, current smoking status and serum 25-hydroxyvitamin D (all assessed at baseline). Data are mean ± 95% confidence intervals.
In the early 1990s, Chapuy et al. conducted the first study designed to test the anti-fracture efficacy of calcium (with vitamin D in this case) [14]. At 18 months, there was a 43% decrease in hip fractures in a completers’ analysis, which equated to a 26% decline in fracture rate on an in tention-to- treat basis. The effect was similar at 36 months [58]. Non-vertebral fracture numbers were decreased by 25% and 17%, at 18 and 36 months, respectively (intention-to-treat analysis). This led to the conclusion that calcium and vitamin D were an essential part of osteoporosis management, because of their demonstrable anti-fracture efficacy and their presumed safety. Several features of this study by Chapuy and colleagues should be mentioned. First, it was carried out in frail elderly women living in institutions. Secondly, calcium intakes were ~500 mg day-1 and mean serum 25-hydroxyvitamin D concentration was 25 nmol L-1 in placebo subjects 12 months into the study, equating to 13.7 nmol L-1 after correction for inaccuracies in assay calibration [59]. Finally, calcium plus vitamin D produced a between-group difference in total hip bone density of 7.3%, a response larger than reported with any anti-osteoporotic medication. Such a large effect can only be explained as a response to the treatment of osteomalacia, which is highly likely to have affected many of these women, considering their marked vitamin D deficiency.
In the last 10 years, the results of five large trials of calcium supplements have been reported; none showed beneficial effects on fractures in their primary analyses [25, 60-63], although some found beneficial and adverse fracture effects in secondary analyses. This is reflected in recent meta-analyses, which showed either no effect of calcium on fracture or small effects [54, 64]. The influential nature of the study by Chapuy and colleagues in the first of these meta-analyses, by Tang et al. [54], is noteworthy. In the subgroup analyses, the group in which Chapuy lies usually is found to have the greatest therapeutic effect. Thus, total fractures were only reduced by 6% in community-dwelling subjects. Fracture prevention was reduced with trial duration, reaching no effect at 7 years, and with declining compliance [relative risk 0-96, 95% confidence interval (CI) 0-91-1-01, with <80% compliance] (Fig. 4). Tang et al. did not consider hip fracture as a separate endpoint, but at least three meta-analyses have shown upward trends in hip fracture from the use of calcium alone [51, 64, 65]. The effects of calcium plus vitamin D on hip fracture are dominated by the results of Chapuy et al., but analyses of community-dwelling subjects have shown no evidence of fracture prevention. Recently, the investigators from the Women’s Health Initiative (WHI) demonstrated a significant interaction between randomization to calcium plus vitamin D and to hormones on risk of hip fracture in their study [66]. When results from the non-hormone-treated WHI subjects were used in the meta-analysis, there was a trend towards an adverse effect on hip fracture risk from the use of calcium plus vitamin D [65] (Fig. 5).
In summary, calcium supplements clearly have small beneficial effects on bone density, but a cumulative density benefit has not been demonstrated in most studies. As a result, the antifracture efficacy of calcium supplements remains an open question; there is no evidence to support a role in hip fracture prevention (other than in a cohort with severe vitamin D deficiency) and total fracture numbers are only reduced by 0-10%, depending on which meta-analysis is considered. This has led to the US Preventive Services Task Force not recommending their use [67], a view supported by some journal editorials [68]
Fig. 4 Meta-regression analysis of the effects of trial duration (a) and compliance (b) on anti-fracture efficacy of calcium supplements. Size of the circles corresponds to the weight of each study. From Tang et al. [54], with permission.
Risks of calcium supplements
Over the few decades of calcium supplement use, there was an assumption that a natural element, such as calcium, must intrinsically be safe. Comparison with other minerals and nutrients given in pharmacological doses would suggest that such an assumption is questionable.
Gastrointestinal effects
From their earliest use, there has been an awareness that calcium supplements have gastrointestinal side effects, mainly constipation but also, with the use of calcium carbonate, flatulence. However, it has been assumed that such side effects are only of minor inconvenience. The frequency of minor gastrointestinal symptoms with calcium supplements has been confirmed, and this appears to contribute to low compliance [25]. These adverse effects were summarized in the recent meta-analysis by Lewis et al. [69] (Fig. 6). The authors described the symptoms as ‘constipation, excessive abdominal cramping, bloating, upper gastrointestinal events, gastrointestinal disease, gastrointestinal symptoms and severe diarrhoea or abdominal pain’. However, of more concern, was the finding by Lewis and colleagues of acute admissions to hospital with acute abdominal symptoms: 6.8% in the placebo group and 3.6% in the calcium-treatment group (over 5 years). In fact, they found that the absolute excess of hospital admissions for acute abdominal problems was numerically greater than the decrease in total fracture numbers. In contrast to the fracture results, the difference in hospital admissions for gastrointestinal emergencies was statistically significant. This suggests that serious gastrointestinal side effects alone abrogate the possible benefit of calcium supplements for fracture prevention.
Renal calculi
Calcium balance is maintained within tight limits to ensure that circulating levels are adequate to facilitate skeletal mineralization, yet not elevated to levels that would cause mineralization of soft tissues. Accordingly, the use of calcium supplements is associated with increases in urine calcium excretion [55]. This has caused concern that calcium supplements would increase the risk of renal calculi, as was confirmed in the WHI (hazard ratio for renal calculi 1.17, 95% CI 1.02-1.34). As for adverse gastrointestinal symptoms, the absolute increase in renal stone events in the active treatment group in the WHI was statistically significant and numerically greater than the decrease in fractures, whereas there was no statistically significant difference in fracture rates between groups in the primary analyses. Again, the increase in incidence of renal calculi alone counter-balances any possible fracture benefit from the use of calcium supplements.
Cardiovascular effects
We have recently reviewed the cardiovascular side effects of calcium supplements in detail elsewhere [70]. Deposition of calcium into arterial walls is an integral part of the atherosclerotic process, so there has been concern for some decades that calcium supplementation might increase the risk of cardiovascular disease. However, this concern has principally been expressed by vascular biologists [71] and often not considered seriously by those involved in the therapeutic management of osteoporosis. By contrast, there has been long-standing concern about the use of calcium in patients with chronic renal failure. In pre-dialysis patients, calcium supplements increase coronary artery calcification [72] and adversely impact on survival [73].
Calcium I Placebo MHIII Risk ratio I Risk ratio
Fig. 6 Random effects model of calcium supplementation on the risk of gastrointestinal side effects compared with placebo. In the study by Prince et al., acute hospitalizations for gastrointestinal symptoms were increased from 3.6% in the placebo group to 6.8% in those randomly assigned to calcium [relative risk 1.9, 95% confidence interval (CI) 1.2-3.1, P = 0.006]. From Lewis et al. [691, with permission.
These patients have renal function comparable to that seen in many older individuals at risk of osteoporosis [74]. This concern has resulted in ‘the demise of calcium-based phosphate binders’ in many centres [75, 76].
More than a decade ago, we and others observed that calcium supplements appeared to produce small benefits in terms of blood pressure [77, 78] and circulating lipid levels [79], although the latter findings have not been consistent. On the basis of these possible beneficial effects, a number of cardiovascular events were pre-specified as secondary endpoints in the Auckland Calcium Study. We were surprised to discover that the incidence of myocardial infarction was significantly increased in this study, and there was an upward trend in stroke incidence [80]. Subsequently, as part of an international consortium, we conducted a metaanalysis of all trials in older adults randomly assigned to calcium or placebo for >1 year [81]. This analysis confirmed a 27% increase in the incidence of myocardial infarction and again suggested an adverse effect on the risk of stroke. A quarter of myocardial infarctions in this analysis were self-reported; the hazard ratio was 1.44 (95% CI 1.08-1.91, P = 0.013) if these events were excluded [82]. A similar numerical increase in myocardial infarction risk associated with calcium monotherapy has been found in two subsequent meta-analyses [83, 84], although their statistical significance was marginal because of smaller numbers in those analyses.
Our findings with calcium monotherapy appeared to contradict those of the WHI, which concluded that there was no adverse effect of calcium plus vitamin D on cardiovascular health [85]. However, their analyses did demonstrate an interaction between body mass index and cardiovascular disease risk, such that the incidence of myocardial infarction increased by 17% in non-obese subjects. In addition, an almost significant hazard ratio of 1.08 (95% CI 0.99-1.19) was reported for a composite endpoint that included myocardial infarction and coronary artery revascularization, which is not reassuring from a safety perspective.
The WHI differed in several important respects from those studies included in the first metaanalysis led by Bolland [80]. The subjects were, on average, 10 years younger, the active treatment group received vitamin D in addition to calcium, and participants were accepted into the trial even if they were already taking calcium supplements, and were permitted to continue these self-administered calcium supplements throughout the trial. Thus, at randomization, 54% of subjects were self- administering calcium, and this proportion rose to 69% at trial end. We hypothesized that contamination with self-administration of calcium might have obscured an adverse effect of supplements on cardiovascular disease risk and designed a protocol to address this issue. Following approval of the analysis plan by the NIH, we obtained the publicly available WHI data set. We found a significant interaction between self-administration of calcium supplements and the effect of the calcium/vitamin D intervention on cardiovascular disease risk [86]. There were no adverse effects from the addition of further calcium in those already taking a supplement, but, in calcium-naive subjects, an increase in risk very similar to that found in our first metaanalysis was demonstrated. The adverse trends applied to both myocardial infarction and stroke. As shown in Fig. 7, the time courses of the effects of calcium supplementation on myocardial infarction and stroke are very similar between our metaanalysis of calcium monotherapy and the analysis of the calcium-naive subjects in the WHI. It is also noteworthy that the onset of adverse effect is more rapid for myocardial infarction than for stroke and this difference is consistent between the two separate data sets. Thus, there is no evidence that the addition of vitamin D abrogates the adverse effects of calcium on cardiovascular disease risk, and this is consistent with the much larger body of clinical trial evidence suggesting that vitamin D is not cardioprotective [87, 88].
Recently, Lewis et al. have performed another meta-analysis of these data, but excluding men and self-reported events [89]. For calcium monotherapy and myocardial infarction, their results were very similar to those of Bolland and colleagues [81] (relative risk 1.37, 95% CI 0.98-1.92); the lack of statistical significance was accounted for by the smaller numbers they included (6333 vs. 10 210). For their analysis of calcium plus vitamin D, Lewis and colleagues added two groups of women not included in the meta-analysis by Bolland et al.: 20 000 participants from the WHI who were already taking calcium at the time of randomization, and 6000 women from the study of Larsen et al. [90], which was not a randomized, controlled trial. Because we have shown that selfadministration of calcium significantly influenced the cardiovascular outcomes of the WHI [86], the first of these additions is not appropriate. In the Larsen study [90], the authors divided the residential area into district ‘clusters’, with one ‘cluster’ per intervention. Prospective participants knew what their intervention would be before agreeing to participate, and there was a higher participation rate among those offered calcium plus vitamin D. The use of cardiovascular medications, sedatives and analgesics was lower in this group compared with those agreeing to act as controls, suggesting a difference in cardiovascular disease risk and other comorbidities at baseline, which would bias the study against finding an adverse effect of calcium supplements. Thus, this study does not qualify for inclusion in a metaanalysis of randomized, controlled trials. In the analysis by Lewis et al., no effect of calcium plus vitamin D supplements on total coronary heart disease was found, but 82% of the weight in this analysis was from the WHI, so it is essentially a re-publication of those data.
As for gastrointestinal and renal adverse effects, it is instructive to compare the absolute increase in numbers of cardiovascular events with the absolute decrease in number of fractures. For calcium monotherapy, treatment of 1000 persons for 5 years will cause 14 myocardial infarctions, 10 strokes and 13 deaths, while preventing 26 fractures [81]. Thus, consideration of the cardiovascular adverse effects in isolation suggests that calcium supplements produce no net benefit. When these cardiovascular adverse events are considered alongside gastrointestinal events and renal calculi, it is apparent that a negative impact of calcium supplement use is likely.
Conclusions
Concern regarding the safety of calcium supplements has led to recommendations that dietary calcium should be the primary source, and supplements reserved only for those who are unable to achieve an adequate dietary intake. The current recommendations for intakes of 10001200 mg day-1 are not firmly based on evidence. The longitudinal bone densitometry studies reviewed here, together with the new data included in this review relating to total body calcium, suggest that intakes in women consuming only half these quantities are satisfactory and thus, they do not require additional supplementation. The continuing preoccupation with calcium nutrition has its origin in a period when calcium balance was the only technique available to assess dietary or other therapeutic effects on bone health. We now have persuasive evidence from direct measurements of changes in bone density that calcium balance does not reflect bone balance. Bone balance is determined by the relative activities of bone formation and bone resorption, both of which are cellular processes. The mineralization of newly formed bone utilizes calcium as a substrate, but there is no suggestion that provision of excess substrate has any positive effect on either bone formation or subsequent mineralization.
Based on the evidence reviewed here, it seems sensible to maintain calcium intakes in the region of 500-1000 mg day-1 in older individuals at risk of osteoporosis, but there seems to be little need for calcium supplements except in individuals with major malabsorption problems or substantial abnormalities of calcium metabolism. Because of their formulation, costs and probable safety issues, calcium supplements should be regarded as pharmaceutical agents rather than as part of a standard diet. As such, they do not meet the standard cost-benefit criteria for pharmaceutical use and are not cost-effective. If an individual’s fracture risk is sufficient to require pharmaceutical intervention, then safer and more effective measures are available which have been subjected to rigorous clinical trials and careful cost-benefit analyses. Calcium supplements have very little role to play in the prevention or treatment of osteoporosis.
Conflict of interest statement No conflicts of interest to declare.
Acknowledgement The research conducted in the authors’ laboratories was supported by the Health Research Council of New Zealand.

References
Albright F, Smith PH, Richardson AM. Postmenopausal osteoporosis - its clinical features. J Am Med Assoc 1941; 116: 2465-74.
Nicholls L, Nimalasuriya A. Adaptation to a low calcium intake in reference to the calcium requirements of a tropical population. J Nutr 1939; 18: 563-77.
Walker ARP. Some aspects of nutritional research in South- Africa. Nutr Rev 1956; 14: 321-4.
Pathak CL. Nutritional adaptation to low dietary intakes of calories, proteins, vitamins, and minerals in the tropics. Am J Clin Nutr 1958; 6: 151-8.
Hegsted DM, Moscoso I, Collazos C. A study of the minimum calcium requirements of adult men. J Nutr 1952; 46: 181201.
Anon. Recommended dietary allowances, 1953. Nutr Rev 1954; 12: 240-2.
National Academy of Sciences - National Research Council 1953 Publication 302. In: National Research Council, ed. Washington, DC, USA.
World Health Organisation, Food and Agriculture Organisation of the United Nations 1962 Calcium requirements: report of an FAO/WHO Expert Group, Rome, Italy, 23 to 30 May 1961. In: World Health Organisation, ed. vol. 230, Geneva.
Food and Agriculture Organisation of the United Nations, World Health Organisation. Calcium. In: World Health Organisation, ed. Handbook on Human Nutritional Requirements. Geneva: World Health Organisation, 1974; pp 49-52.
Heaney RP, Recker RR, Saville PD. Calcium balance and calcium requirements in middle-aged women. Am J Clin Nutr 1977; 30: 1603-11.
Heaney RP, Recker RR, Saville PD. Menopausal changes in calcium balance performance. JLab Clin Med 1978; 92: 95363.
Dawson-Hughes B, Dallal GE, Krall EA et al. A controlled trial of the effect of calcium supplementation on bone density in postmenopausal women. N Engl J Med 1990; 323: 878-83.
Reid IR, Ames RW, Evans MC et al. Effect of calcium supplementation on bone loss in postmenopausal women. N Engl J Med 1993; 328: 460-4.
Chapuy MC, Arlot ME, Duboeuf F et al. Vitamin-D3 and calcium to prevent hip fractures in elderly women. N Engl J Med 1992; 327: 1637-42.
Dawson-Hughes B, Harris SS, Krall EA et al. Effect of calcium and vitamin D supplementation on bone, density in men and women 65 years of age or older. N Engl J Med 1997; 337: 670-6.
Food and Nutrition Board and Institute of Medicine Standing Committee on the Scientific Evaluation of Dietary Reference Intakes 1997 Dietary Reference Intakes for Calcium, Phosphorous, Magnesium, Vitamin D and Fluoride. In: National Academy Press, ed. Washington, DC, USA.
Food and Agriculture Organisation of the United Nations, World Health Organisation 2002 Human vitamin and mineral requirments. Report of a joint FAO/WHO expert consultation, Bangkok, Thailand. In: World Health Organisation, ed. Rome.
Committee on Medical Aspects of Food and Nutrition Policy 1998 Report on Health and Social Subjects 49: Report of the Subgroup on Bone Health, Working Group on the Nutrition Status of the Population of the Committee on Medical Aspects of Food and Nutrition Policy. In: Department of Health, ed. London.
Bauer DC. Calcium supplements and fracture prevention. N Engl J Med 2013; 369: 1537-43.
Manson JE, Bassuk SS. Calcium supplements: do they help or harm? Menopause 2014; 21: 106-8.
Strohm D. New reference values for calcium. Ann Nutr Metab 2013; 63: 186-92.
Committee to Review Dietary Reference Intakes for Vitamin D and Calcium 2010 Dietary Reference Intakes for Calcium and Vitamin D. Institute of Medicine, Washington, DC, USA.
Hunt CD, Johnson LK. Calcium requirements: new estimations for men and women by cross-sectional statistical analyses of calcium balance data from metabolic studies. Am J Clin Nutr 2007; 86: 1054-63.
Marshall D, Johnell O, Wedel H. Meta-analysis of how well measures of bone mineral density predict occurrence of osteoporotic fractures. BMJ 1996; 312: 1254-9.
Reid IR, Mason B, Horne A et al. Randomized controlled trial of calciuminhealthyolderwomen. AmJMed 2006; 119: 777-85.
Spiegel DM, Brady K. Calcium balance in normal individuals and in patients with chronic kidney disease on low- and high- calcium diets. Kidney Int 2012; 81: 1116-22.
Kanis JA, Passmore R. Calcium supplementation of the diet.2. BMJ 1989; 298: 205-8.
Anderson JJB, Roggenkamp KJ, Suchindran CM. Calcium intakes and femoral and lumbar bone density of elderly U.S. men and women: national health and nutrition examination survey 2005-2006 analysis. J Clin Endocrinol Metab 2012; 97: 4531-9.
Aptel I, Cance-Rouzaud A, Grandjean H. Association between calcium ingested from drinking water and femoral bone density in elderly women: evidence from the EPIDOS cohort. J Bone Miner Res 1999; 14: 829-33.
Kroger H, Tuppurainen M, Honkanen R et al. Bone mineral density and risk factors for osteoporosis - a population-based study of 1600 perimenopausal women. Calcif TissueInt 1994; 55: 1-7.
Reid IR, Ames R, Evans MC et al. Determinants of total body and regional bone mineral density in normal postmenopausal women - a key role for fat mass. J Clin Endocrinol Metab 1992; 75: 45-51.
Mavroeidi A, Stewart AD, Reid DM et al. Physical activity and dietary calcium interactions in bone mass in Scottish postmenopausal women. Osteoporos Int 2009; 20: 409-16.
Riggs BL, Wahner HW, Melton LJ 3rd et al. Dietary calcium intake and rates of bone loss in women. J Clin Invest 1987; 80: 979-82.
van Beresteijn EC, van‘t Hof MA, Schaafsma G et al. Habitual dietary calcium intake and cortical bone loss in perimeno- pausal women: a longitudinal study. Calcif Tissue Int 1990; 47: 338-44.
Hansen MA, Overgaard K, Riis BJ et al. Potential risk factors for development of postmenopausal osteoporosis-examined over a 12-year period. Osteoporos Int 1991; 1: 95-102.
Reid IR, Ames RW, Evans MC et al. Determinants of the rate of bone loss in normal postmenopausal women. J Clin Endocrinol Metab 1994; 79: 950-4.
Hosking DJ, Ross PD, Thompson DE et al. Evidence that increased calcium intake does not prevent early postmenopausal bone loss. Clin Ther 1998; 20: 933-44.
Hannan MT, Felson DT, Dawson-Hughes B et al. Risk factors for longitudinal bone loss in elderly men and women: the Framingham Osteoporosis Study. JBone Miner Res 2000; 15: 710-20.
Nakamura K, Oyama M, Saito T et al. Nutritional and biochemical parameters associated with 6-year change in bone mineral density in community-dwelling Japanese women aged 69 years and older: the Muramatsu study. Nutrition 2012; 28: 357-61.
Dennison E, Eastell R, Fall CH et al. Determinants of bone loss in elderly men and women: a prospective population- based study. Osteoporos Int 1999; 10: 384-91.
Burger H, de Laet CE, van Daele PL et al. Risk factors for increased bone loss in an elderly population: the Rotterdam Study. Am J Epidemiol 1998; 147: 871-9.
Uusi-Rasi K, Sievanen H, Pasanen M et al. Influence of calcium intake and physical activity on proximal femur bone mass and structure among pre- and postmenopausal women. A 10-year prospective study. Calcif Tissue Int 2008; 82: 17181.
Sirola J, Kroger H, Honkanen R et al. Smoking may impair the bone protective effects of nutritional calcium: a population-based approach. J Bone Miner Res 2003; 18: 1036-42.
Dawson-Hughes B, Jacques P, Shipp C. Dietary calcium intake and bone loss from the spine in healthy postmenopausal women. Am J Clin Nutr 1987; 46: 685-7.
Rosen C. Primer on the Metabolic Bone Diseases and Disorders of Mineral Metabolism, 8th edn. Washington DC: American Society for Bone and Mineral Research, 2013.
Bolland MJ, Grey AB, Ames RW et al. Fat mass is an important predictor of parathyroid hormone levels in postmenopausal women. Bone 2006; 38: 317-21.
Cumming RG, Cummings SR, Nevitt MC et al. Calcium intake and fracture risk - results from the study of osteoporotic fractures. Am J Epidemiol 1997; 145: 926-34.
Feskanich D, Willett WC, Colditz GA. Calcium, vitamin D, milk consumption, and hip fractures: a prospective study among postmenopausal women. Am J Clin Nutr 2003; 77: 504-11.
Meyer HE, Pedersen JI, Loken EB et al. Dietary factors and the incidence of hip fracture in middle-aged norwegians - a prospective study. Am J Epidemiol 1997; 145: 117-23.
Benetou V, Orfanos P, Zylis D et al. Diet and hip fractures among elderly Europeans in the EPIC cohort. Eur J Clin Nutr 2011; 65: 132-9.
Bischoff-Ferrari HA, Dawson-Hughes B, Baron JA et al. Calcium intake and hip fracture risk in men and women: a meta-analysis of prospective cohort studies and randomized controlled trials. Am J Clin Nutr 2007; 86: 1780-90.
Reid IR, Ames RW, Evans MC et al. Long-term effects of calcium supplementation on bone loss and fractures in postmenopausal women - a randomized controlled trial. Am JMed 1995; 98: 331-5.
Nilas L, Christiansen C, Rodbro P. Calcium supplementation and postmenopausal bone loss. BMJ 1984; 289: 1103-6.
Tang BMP, Eslick GD, Nowson C et al. Use of calcium or calcium in combination with vitamin D supplementation to prevent fractures and bone loss in people aged 50 years and older: a meta-analysis. Lancet 2007; 370: 657-66.
Reid IR, Ames R, Mason B et al. Randomized controlled trial of calcium supplementation in healthy, nonosteoporotic, older men. Arch Intern Med 2008; 168: 2276-82.
Nakamura K, Saito T, Kobayashi R et al. Effect of low-dose calcium supplements on bone loss in perimenopausal and postmenopausal Asian women: a randomized controlled trial. J Bone Miner Res 2012; 27: 2264-70.
Rajatanavin R, Chailurkit L, Saetung S et al. The efficacy of calcium supplementation alone in elderly Thai women over a 2-year period: a randomized controlled trial. Osteoporos Int 2013; 24: 2871-7.
Chapuy MC, Arlot ME, Delmas PD et al. Effect of calcium and cholecalciferol treatment for three years on hip fractures in elderlywomen. BMJ 1994; 308: 1081-2.
Lips P, Chapuy MC, Dawson-Hughes B et al. An international comparison of serum 25-hydroxyvitamin D measurements. Osteoporos Int 1999; 9: 394-7.
Jackson RD, LaCroix AZ, Gass M et al. Calcium plus vitamin D supplementation and the risk of fractures. N Engl J Med 2006; 354: 669-83.
RECORD Trial Group. Oral vitamin D3 and calcium for secondary prevention of low-trauma fractures in elderly people (Randomised Evaluation of Calcium or vitamin D, RECORD): a randomised placebo-controlled trial. Lancet 2005; 365: 1621-8.
Prince RL, Devine A, Dhaliwal SS et al. Effects of calcium supplementation on clinical fracture and bone structure - results of a 5-year, double-blind, placebo-controlled trial in elderly women. Arch Intern Med 2006; 166: 869-75.
Salovaara K, Tuppurainen M, Karkkainen M et al. Effect of vitamin D-3 and calcium on fracture risk in 65-to 71-year- old women: a population-based 3-year randomized, controlled trial-the OSTPRE-FPS. J Bone Miner Res 2010; 25: 1487-95.
Murad MH, Drake MT, Mullan RJ et al. Comparative effectiveness of drug treatments to prevent fragility fractures: a systematic review and network meta-analysis. J Clin Endocrinol Metab 2012; 97: 1871-80.
Reid IR, Bolland MJ. Calcium risk-benefit updated-New WHI analyses. Maturitas 2014; 77: 1-3.
Robbins JA, Aragaki A, Crandall CJ et al. Women’s Health Initiative clinical trials: interaction of calcium and vitamin D with hormone therapy. Menopause 2014; 21: 116-23.
Moyer VA, U. S. Preventive Services Task Force. Vitamin D and calcium supplementation to prevent fractures in adults: US preventive services task force recommendation statement. Ann Intern Med 2013; 158: 691-6.
Guallar E, Stranges S, Mulrow C et al. Enough is enough: stop wasting money on vitamin and mineral supplements. Ann Intern Med 2013; 159: 850-1.
Lewis JR, Zhu K, Prince RL. Adverse events from calcium
supplementation: relationship to errors in myocardial infarction self-reporting in randomized controlled trials of calcium supplementation. J Bone Miner Res 2012; 27: 719-22.
Reid IR, Bristow SM, Bolland MJ. Cardiovascular complications of calcium supplements. J Cell Biochem 2015; 116: 494-501.
Demer LL. A skeleton in the atherosclerosis closet. Circulation 1995; 92: 2163-8.
Russo D, Miranda I, Ruocco C et al. The progression of coronary artery calcification in predialysis patients on calcium carbonate or sevelamer. Kidney Int 2007; 72: 1255-61.
Di Iorio B, Bellasi A, Russo D. Mortality in kidney disease patients treated with phosphate binders: a randomized study. Clin J Am Soc Nephrol 2012; 7: 487-93.
Lubwama R, Nguyen A, Modi A et al. Prevalence of renal impairment among osteoporotic women in the USA, NHANES 2005-2008: is treatment with bisphosphonates an option? Osteoporos Int 2014; 25: 1607-15.
Jamal SA, Vandermeer B, Raggi P et al. Effect ofcalcium-based versus non-calcium-based phosphate binders on mortality in patients with chronic kidney disease: an updated systematic reviewandmeta-analysis. Lancet2013; 382: 1268-77. http:// dx.doi.org/10.1016/S0140-6736(13)60897-1.
Ortiz A, Sanchez-Nino MD. The demise of calcium-based phosphate binders. Lancet 2013; 382: 1232-34. http:// dx.doi.org/10.1016/S0140-6736(13)61165-4.
Reid IR, Horne A, Mason B et al. Effects of calcium supplementation on body weight and blood pressure in normal older women: a randomized controlled trial. J Clin Endocrinol Metab 2005; 90: 3824-9.
Griffith LE, Guyatt GH, Cook RJ et al. The influence of dietary and nondietary calcium supplementation on blood pressure - an updated metaanalysis of randomized controlled trials. Am JHypertens 1999; 12: 84-92.
Reid IR, Mason B, Horne A et al. Effects of calcium supplementation on serum lipid concentrations in normal older women: a randomized controlled trial. Am J Med 2002; 112: 343-7.
Bolland MJ, Barber PA, Doughty RN et al. Vascular events in healthy older women receiving calcium supplementation: randomised controlled trial. BMJ2008; 336: 262-6.
Bolland MJ, Avenell A, Baron JA et al. Effect of calcium supplements on risk of myocardial infarction and cardiovascular events: meta-analysis. BMJ 2010; 341: C3691.
Bolland MJ, Grey A, Reid IR. Misclassification does not explain increased cardiovascular risks of calcium supplements. J Bone Miner Res 2012; 27: 959.
Lewis JR, Radavelli-Bagatini S, Rejnmark L et al. The effects of calcium supplementation on verified coronary heart disease hospitalization and death in postmenopausal women: a collaborative meta-analysis of randomized controlled trials. J Bone Miner Res 2015; 30: 165-75.
Mao P-J, Zhang C, Tang L et al. Effect of calcium or vitamin D supplementation on vascular outcomes: a meta-analysis of randomized controlled trials. Int J Cardiol 2013; 169: 106-11.
HsiaJ, Heiss G, Ren H et al Calcium/vitamin D supplementation and cardiovascular events. Circulation 2007; 115: 846-54.
Bolland MJ, Grey A, Avenell A et al. Calcium supplements with or without vitamin D and risk of cardiovascular events: reanalysis of the Women’s Health Initiative limited access dataset and meta-analysis. BMJ 2011; 342: d2040. doi: 10.1136/bmj.d2040.
Bolland MJ, Grey A, Gamble GD et al. The effect of vitamin D supplementation on skeletal, vascular, or cancer outcomes: a trial sequential meta-analysis. Lancet Diabetes Endocrinol 2014; 2: 307-20.
Ford JA, MacLennan GS, Avenell A et al. Cardiovascular disease and vitamin D supplementation: trial analysis, systematic review, and meta-analysis. Am J Clin Nutr 2014; 100: 746-55.
Lewis JR, Radavelli-Bagatini S, Rejnmark L et al. The effects of calcium supplementation on verified coronary heart disease hospitalization and death in postmenopausal women: a collaborative meta-analysis of randomized controlled trials. J Bone Miner Res 2014; 30: 165-75. doi: 10.1002/jbmr.2311.
Larsen ER, Mosekilde L, Foldspang A. Vitamin D and calcium supplementation prevents osteoporotic fractures in elderly community dwelling residents: a pragmatic population-based 3-year intervention study. J Bone Miner Res 2004; 19: 370-8.
Angus RM, Sambrook PN, Pocock NA et al. A simple method for assessing calcium intake in Caucasian women. J Am Diet Assoc 1989; 89: 209-14.
Bristow SM, Gamble GD, Stewart A et al. Acute and 3-month effects of microcrystalline hydroxyapatite, calcium citrate and calcium carbonate on serum calcium and markers of bone turnover: a randomised controlled trial in postmenopausal women. Br J Nutr 2014; 112: 1611-20. doi: 10.1017/ S0007114514002785.
Radford LT, Bolland MJ, Gamble GD et al. Subgroup analysis for the risk of cardiovascular disease with calcium supplements. BoneKEy Rep 2013; 2: 293, 1-6. doi: 10.1038/ bonekey.2013.27.
Macdonald HM, New SA, Golden MH et al. Nutritional associations with bone loss during the menopausal transition: evidence of a beneficial effect of calcium, alcohol, and fruit and vegetable nutrients and of a detrimental effect of fatty acids. Am J Clin Nutr 2004; 79: 155-65.
Ho SC, Chen YM, Woo JL et al. High habitual calcium intake attenuates bone loss in early postmenopausal Chinese women: an 18-month follow-up study. J Clin Endocrinol Metab 2004; 89: 2166-70.
Lack of evidence for Calcium and Vitamin D supplementation for Osteoporosis - July 2015
Web of industry, advocacy, and academia in the management of osteoporosis
Calcium and vitamin D supplementation continue to be recommended to prevent and treat osteoporosis despite evidence of lack of benefit, say Andrew Grey and Mark Bolland. They examine why change is difficult and call for advocacy organisations, academics, and specialist
societies to abandon industry ties
Andrew Grey associate professor , Mark Bolland associate professor
Department of Medicine, University of Auckland, Private Bag 92019, Auckland 1142, New Zealand

Fig 1 Timeline of evidence from randomised trials of calcium with or without vitamin D with fracture as an outcome.
Trials were identified by systematic database searches.
Key studies are as indicated, with brief summaries of trial characteristics.
Large trials had >1000 participants. References are in appendix A on thebmj.com