Autoimmunity and Optimal Vitamin-D – Stochastic Chemical Dynamic correlation
A Stochastic Chemical Dynamic Approach to Correlate Autoimmunity and Optimal Vitamin-D Range
Susmita Roy, Krishna Shrinivas, Biman Bagchi profbiman@gmail.com
SSCU, Indian Institute of Science, Bangalore, Karnataka, India
Teaser figure F4 (from below)

Motivated by several recent experimental observations that vitamin-D could interact with antigen presenting cells (APCs) and T-lymphocyte cells (T-cells) to promote and to regulate different stages of immune response, we developed a coarse grained but general kinetic model in an attempt to capture the role of vitamin-D in immunomodulatory responses. Our kinetic model, developed using the ideas of chemical network theory, leads to a system of nine coupled equations that we solve both by direct and by stochastic (Gillespie) methods. Both the analyses consistently provide detail information on the dependence of immune response to the variation of critical rate parameters. We find that although vitamin-D plays a negligible role in the initial immune response, it exerts a profound influence in the long term, especially in helping the system to achieve a new, stable steady state. The study explores the role of vitamin-D in preserving an observed bistability in the phase diagram (spanned by system parameters) of immune regulation, thus allowing the response to tolerate a wide range of pathogenic stimulation which could help in resisting autoimmune diseases. We also study how vitamin-D affects the time dependent population of dendritic cells that connect between innate and adaptive immune responses. Variations in dose dependent response of anti-inflammatory and pro-inflammatory T-cell populations to vitamin-D correlate well with recent experimental results. Our kinetic model allows for an estimation of the range of optimum level of vitamin-D required for smooth functioning of the immune system and for control of both hyper-regulation and inflammation. Most importantly, the present study reveals that an overdose or toxic level of vitamin-D or any steroid analogue could give rise to too large a tolerant response, leading to an inefficacy in adaptive immune function.
Citation: Roy S, Shrinivas K, Bagchi B (2014) A Stochastic Chemical Dynamic Approach to Correlate Autoimmunity and Optimal Vitamin-D Range. PLoS ONE 9(6): e100635. doi:10.1371/journal.pone.0100635
Editor: Enrique Hernandez-Lemus, National Institute of Genomic Medicine, Mexico Received December 16, 2013; Accepted May 29, 2014; Published June 27, 2014
Copyright: © 2014 Roy et al. This is an open-access article distributed under the terms of the Creative Commons Attribution License, which permits unrestricted use, distribution, and reproduction in any medium, provided the original author and source are credited.
Funding: This work was supported in parts by grants from Department of Science and Technology (DST), India and Sir J.C. Bose Fellowship (DST). The funders had no role in study design, data collection and analysis, decision to publish, or preparation of the manuscript.
Competing Interests: The authors have declared that no competing interests exist.
The following are only some of the figures and equations in the PDF
Introduction
Vitamin-D is reported to be involved in large number of distinct immune responses [1-6], although our quantitative understanding of these processes at the cellular level still remains largely incomplete. This is because of the enormous complexity of human immune system which depends on a large number of interacting (some may be still unknown) components. Furthermore, the immune system is broadly divided into two branches: innate immunity and adaptive immunity. While the first branch is generic in action, the latter is highly specific. Spurred by modern epidemiologic studies, efforts in the last two decades have been directed towards understanding the origin of non-classical immunomodulatory responses believed to be triggered by active 1, 25-dihydroxy vitamin-D [1-6]. Beyond its established classical function in calcium metabolism, studies on vitamin-D are now progressively focused on its pleiotropic actions [1-6].
Vitamin-D mediated immunotherapies have been followed over past 150 years. Since early 1900s, cod-liver oil and UV light became widely recognized as the essential sources of vitamin-D. Therapeutic use of vitamin-D first drew attention in 1849, when Dr. Charles James Blasius William used cod-liver oil to cure over 400 tuberculosis (TB) patients [7]. After a long 50 years gap, Niels Finsen won the Nobel prize by highlighting the medicinal value of UV exposure by which he treated over 800 patients affected by lupus vulgaris (a cutaneous form of TB) [8,9]. In Indian traditional Ayurvedic treatments, use of sunlight to treat and reduce diseases goes back several thousand years where it is referred to as "Suryavigyan" (Meaning: science of Sun light).
Vitamin-D plays distinct roles both in innate and adaptive immunity. Several experimental and clinical studies have revealed that endogenously produced active vitamin-D (1, 25(OH)2D3)in macrophages enhances the production rate of anti-microbial peptides (cathelicidin, b-defensins, etc), to promote innate immunity [10,11]. Subsequently, the conversion of 25-D3 into functional 1, 25-D3 (known as active vitamin-D) in antigen presenting cells (APCs, such as dendritic cells, macrophages) exerts potent effect on the adaptive immune system [12]. Past epidemiologic data highlight the link between vitamin-D insufficiency and a range of immuno-mediated disorders namely various types of autoimmune diseases. Experimental studies on the immunomodulatory properties of vitamin-D show that autoim-munity is primarily driven by the enhanced number of T helper cells (e.g. Th1) that attack various self-tissues in the body. In particular, the inhibitory effect of vitamin-D on such pro-inflammatory T-cell responses and promoting regulatory T-cells (TReg) may, at least in part, explain some of these associations [11-15].
Some recent experimental studies shed light on such regulatory actions exerted by both vitamin-D and regulatory T-cells and their interplay in resisting autoimmunity. The distinct functions of the effector T-cells (briefly defined in Text S1 in File S1) [16] often found to evolve in presence of antigen, processed and presented by antigen presenting cells (APCs) that impel the appropriate co-stimulatory signals to induce the maturation of naive T-cells [17,18]. In the year of 2000, Jonuleit and coworkers characterized different types of T-cell responses that are crucially dependent on the maturation phase of dendritic cells (DCs) [19]. They reported that while stimulations by mature DCs promote the proliferation of inflammatory Th1 cells, contacts of the naive T-cells with immature DCs induce IL-10 producing T-cell regulatory 1-like responses [19]. In 2003, Powrie and Maloy proposed an interaction scheme explaining such inter relation between APCs and T-cell responses [20]. During the same period of time, Piemonti and coworker mentioned about the distinct role of 1,25(OH)2D3 in modulating immune responses through the inhibition of DC differentiation and maturation into potent APCs [21]. The active form of vitamin-D adversely affects T-cell activation, proliferation and differentiation, while facilitating the production of regulatory T-cells (TReg) that functions as an effective immune regulator [22-24]. Recently Correale et al. showed that effector T-cells are able to metabolize inactive 25(OH)D3 into biologically active 1,25(OH)2D3, as these T-cells express 1 a-hydroxylase enzyme that constitutively facilitates this conversion [25].
In the present study we develop a theoretical coarse grained kinetic network model based on the above mentioned experimental observations. Our main objective is to explore quantitatively, the dependence of immunity on vitamin-D and investigate its possible role in reducing the risk of auto-immune diseases and fatal infections. We analyze several immunomodulatory responses that are controlled by vitamin-D, including both innate and adaptive responses as articulated in several experimental reports and reviews [11-12, 26]. Although there are numerous complex biochemical reactions and reactants are involved, we have considered only a certain number which are the essential components of immune system and have direct interaction with vitamin-D.
We address the concern for optimal range of vitamin-D intake that has been raised by World Health Organization's international agency for research on cancer. The present study suggests that the inhibitory action exerted by regulatory T-cells induced by vitamin-D and by vitamin-D itself on effector T-cell response could play an important role in prevention of autoimmune diseases.
Several early mathematical models also studied the inflammatory roles of effector T-cells and their regulation by regulatory T-cells. In recent years Friedman et al. studied the effect of T-cells on inflammatory Bowel Disease [27]. Pillis and coworkers investigated effects of regulatory T-cell on renal cell carcinoma treatment [28]. In another model Villoslada et al. observed the dynamic cross regulation of antigen-specific effector and regulatory T-cell subpopulations in connection with microglia in brain autoimmu-nity [29]. Perhaps, the most relevant model for the regulation ofT-cells in the immune system was presented in a recent paper by Fouchet et al. [30]. They identified the important ingredients of the immune system and formulated coupled rate equations for the entire process to show the regulation of effector and regulatory T-cells by changing various rate constants.
While all these models are fairly neat, they did not include the essential effects ofvitamin-D [27-30], whereas several experiments have already shown the importance of vitamin-D in both the innate and adaptive immune system. Here we have implanted the nonlinear effect of vitamin-D in basic model of T-cell regulation. The nonlinear effect of vitamin-D is an indirect result of antigen presentation and subsequent production of effector T-cells. The production of effector T-cell signals the activation of vitamin D which, in turn, suppresses effector T-cell production. This model primarily seeks to understand the activation of T-cell responses and effect of vitamin-D on the tolerance/regulatory nature of those responses. Hence we have emphasized the regulatory function of vitamin-D in the adaptive immune system. We have assumed that the innate mechanism annihilates pathogens at a constant rate by the producing some antimicrobial peptides and this leads to govern the primary defense against infectious diseases.
The important constituents of the model considered here are the following: (i) pathogen (It is important to note that, in our analyses we have considered pathogen, as a numerical quantity P that is capable of eliciting T-cell mediated immune response), (ii) naive T-cell, (iii) myeloid dendritic cell in the form of professional antigen presenting cells (APC), both in their resting (immature) and activated (mature) forms (iv) effector and regulatory T-cells, (v) inactive vitamin-D (25(OH)D3) and active vitamin-D (1,25(OH)2D3). However the participants, such as vitamin-D receptor (VDR) and the enzyme 25(OH)D3-1a-hydroxylase (CYP27B1) that simultaneously convert inactive vitamin-D to active vitamin-D (1,25(OH)2 D)-VDR [D*-VDR] protein complex, are considered as implicit factors for activation of the required transcriptional motif.
It is important to emphasize here that we have essentially combined three important experimental observations those include the essential features of the adaptive responses reported by (i) Powri and Maloy, [20] (ii) Jorge Correale et al. [25] and (iii) Lorenzo Piemonti et al. [21]. In Figure 1 we have presented the complex interaction network model that comprises various components and their inter-relation and regulation involved in the immune system.
The present approach of network kinetic model building bears strong resemblance to similar methods adopted earlier in the study of kinetic proof reading [31,32] and also in enzyme kinetics [3335]. In all these studies, precise quantitative prediction is hindered by insufficient knowledge about the system parameters; especially as the values of rate constants are often not available. This lacuna is indeed a source of serious problem not only in study of kinetic proof reading and enzyme kinetics but also, as we find here, in theoretical investigations of immunology. Finally, master equations involved in all such problems are solved by employing the method of mean first passage time [32,36,37], Gillespie algorithm or straight forward numerical integration. We adopt both the deterministic approach by solving differential equations numerically and stochastic simulation by using Gillespie algorithm [38,39]. The coarse-graining of interaction network, development of the reaction scheme and the master equations are discussed in the method section. However the results presented here are all evaluated by employing stochastic simulation method.
The values of parameters involved (rate constants and concentrations) may span a wide range, and can vary from case to case. Thus, a study of the response to the variation of the important parameters has been carried out. Such a study is clearly necessary in the present context.
Results
Under pathogenic attack, a healthy immune system responds by enhancing the proliferation and differentiation rate of effector T-cells [40]. However the insufficient suppression of effector T-cell generation often may lead to the initiation of autoimmunity when tolerance to self-antigens is broken [41]. Such events are results of a weak regulation of our immune system in which effector T-cells are abundant and the levels of regulatory T-cells are rather low.

Figure 1. A schematic representation of adaptive immune responses in terms of cellular interactions including vitamin-D, based on some experimental results and clinical observations.
In the scheme, the primary events are the following: (1) The main step is the annihilation of pathogen by effector T-cells. (2) In presence of pathogen, inactive APC becomes stimulated after pathogen recognition and form resting APC. (3) Resting APC is activated either by pathogen or by the presence of any effector T-cell [19,20]. (4) Activation of effector T-cells are initiated by these active APC. (5) Effector T-cells initiates the formation of active vitamin-D from its inactive form [24]. (6) Resting APC and active vitamin-D both can stimulate the production of regulatory T-cell from its precursor [25]. (7) Enhancement in the rate of production of effector T-cells is controlled by both regulatory T-cells (TReg) and active vitamin-D [24]. (8) In addition, vitamin-D and regulatory T-cell up-regulate the formation of more resting APC from active APC [21].
But a healthy immune system usually functions with a balanced regulation that controls the population of effector T-cells to an appropriate level which is adequate for the clearance of pathogens. The production of effector T-cells again, depends on the APC activation process controlled by the two rate parameters: Rate of APC activation by pathogenic stimulation (kinp) and rate of APC activation by effector T-cells (krese). Here comes the role of vitamin-D whose optimum level effectively maintains this balance in immune regulation. Vitamin-D efficiently promotes the activity of regulatory T-cells. Moreover, vitamin-D itself works to reduce the hyper activity of APCs and effector T-cells. On contrary, an immune system may also arrive at a strongly regulated state, in which effector cells are strongly repressed by the regulatory effects of vitamin-D and/or regulatory T-cells.
In other model studies only regulatory T-cells are assumed to maintain a balanced regulation [28-30]. There are several experimental and clinical observations revealing the important role of vitamin-D and its concentration dependent effects in immune regulation. However we are not aware of a single theoretical model study that has been employed to investigate such an interesting role of vitamin-D.
Effect of vitamin-D on T-cells population: Transition from weak to strong regulation
The opposing role of regulatory and effector T-cells in immunological activity, and their respective regulation by vitamin-D often determine the strength of immune-regulation and the ultimate fate of a disease. The regulation is largely determined by the activation of APCs followed by the production of effector T-cells. In the present study we have categorized the regulation into three groups based on APC and effector T-cell interaction parameter (krese): (i) Strong regulaion, (ii) moderate regulation and (iii) weak regulation. To investigate several vitamin-D associated factors we have performed time evolution analysis of each participating element after the pathogenic attack to study their long time behavior. We have studied all these three regulation limits by varying krese both in the absence and in the presence of vitamin-D at different pathogenic stimulation (kinp).
Numerical results from solution of our system of equations are shown in Figure 2 as a series of curves for all the three regulation limits, both in the presence and absence of vitamin-D. The results are quite revealing and we discuss them in more detail below.
Here we find from Figure 2(a) that in absence of vitamin-D the system falls under a strong regulation limit when we fix krese=10. The presence of standard level of vitamin-D, in comparison, at the same krese limit, is found to preserve that strong regulation efficiently (Figure 2(b)). At krese =102, we find a bistable region where both strong and weak regulations coexist for both in absence and presence of vitamin-D (Figures 2(c) and 2(d)). Such bistable behavior can be characterized as the moderate regulation of T-cell response. In an early study, Fouchet and coworker [30] analyzed the steady state values of T-cells in these three regulation intervals and showed similar interesting phenomena, but in absence of vitamin-D. When we shift the moderate regulation interval towards weakly regulated state (at krese =103), the presence of standard level of vitamin-D, is still found to create a moderate regulation over the steady state population of effector T-cell as compared to the weak regulation in absence of vitamin D (see Figures 2(e) and 2(f)). We observe that at very high krese values or a very high pathogenic stimulation (kinp) the system is always found to fall in a weakly regulated state where effector T-cells are abundant, even when standard level of vitamin-D is present. However vitamin-D assists to preserve the required (moderate/bistable) regulation over a long range of krese and indeed exerts a control over a wide range of pathogenic strength (kinp). Depending on the intensity of pathogenic stimulation and APC activation mediated effector T-cell growth, the immune system mounts a balanced regulation to control the inflammation. This result inevitably suggests the important role of vitamin-D in switching on such required regulation.
In light of the previous results it is worth mentioning here that bistability is a key concept for understanding the basic phenomena of cellular functioning [42,43]. Interestingly, in presence of vitamin-D bistability becomes more robust to tolerate significant changes of pathogenic stimulation. With the classification of three regulation regions (weak, moderate, strong) we investigated the boundaries in between any two. As in previous plot, here we have simultaneously varied both the rate of pathogenic stimulation (kinp) and effector T-cell mediated activation rate of APCs (krese) (see Figure 3). It is necessary to point out that here the production of active APCs plays a central role in determining the area of a bistable region. In the absence of vitamin-D, the production of active APC is under the regulation of weak inhibitory effect of regulatory T-cells. Thus the enhanced production of active APCs is particularly responsible for the emergence of such restricted bistable region (Figure 3(a)). In presence of vitamin-D, the active

Figure 2. Variation in T-cell concentration under weak to strong regulation. Steady state concentrations ofeffector T-cells (TEff, shown in red) and regulatory T-cells (TReg, shown in green) are plotted against various ranges of pathogenic stimulation (kinp) at the three different APC mediated effector T-cell regulations (krese). We find a stable strongly regulated state at krese~10 both (a) in absence of vitamin-D and (b) in presence of vitamin-D. The strong regulation remains strong also in presence of vitamin-D at the same krese value. A bi-stable state appears at krese~ 102 where both weakly regulated state (shown in dashed line) and strongly regulated state (shown in solid line) can coexist (c) in absence of vitamin-D and (d) in presence of vitamin-D. A stable weakly regulated state appears at krese~ 103 (e) in absence of vitamin-D. (f) In presence of vitamin-D, the bi-stable state is extended over a wide range of krese limit. Beyond this limit it falls in a weakly regulated regime. Note that here we consider the vitamin-D related rate constants as, kaDt ~ 10 7, keDt ~ 10 3 and the other rate values given in Table 1. Optimal vitamin-D concentration signifies the steady state value of vitamin-D (—50 nmol/lit).
APC population is diminished significantly due to the combined effects of upregulated regulatory T-cells and vitamin-D. Figure 3(b) provides a clear description that in presence of standard (optimum) level of vitamin-D, bistable region is expanded due to the decreased rate of effector T-cell mediated APC activation process. However, it is evident from the figure that in presence of vitamin-D a weak regulation is shifted towards the larger values of effector T-cell mediated APC activation rate. The result signifies the strength of vitamin-D which prevents the immune system from the over-explosive limit of effector T-cell activity.
Time evolution of immunological components
In absence of vitamin-D. We observed some interesting results from the study of the time evolution analysis of the immunological components in the above mentioned three regulation regions.

Figure 3. Impact of vitamin-D over the phase diagram of immune regulation. (a) In the absence and presence of vitamin-D, the pair of regulation rates, (i) rate of APC activation mediated by pathogenic stimulation (kinp) and (ii) rate of APC activation mediated by effector T-cells (krese) are varied to find out the boundaries between the three specific regulation regions: Weak, moderate, and strong. (a) In absence of vitamin-D the weak regulation intervals occupy a much broader area while areas of moderate (bistable state) and strong regulation intervals are relatively small. (b) In presence of vitamin-D, phase boundaries are shifted: strong regions become broader. Bistable regions become relatively expanded. Weak regions become considerably compressed than what happens in absence of vitamin-D. The rate constants considered here are similar to Figure 2.
Here we have presented the dynamical changes of elements against time (days) that quantitatively explain some attributes of the immune responses. In the absence of vitamin-D (Figure 4(a)), within few hours we see that there is a sudden increase in the amount of effector T-cells which reaches to a peak value. This, as said before, is typically referred to the onset of an adaptive immune response. This is in common agreement with most experimental results which suggests that recognition and thus activation/onset of the adaptive response takes place within few hours after the pathogenic incursion [44,45].
The pathogenic growth starts dying out at a much faster rate immediately after the initiation of effector T-cell production. We now have a huge population of effector T-cells that have been activated from the naive T-cells after APC activation. The population of these T-cells remains considerably higher even after the pathogen load becomes significantly suppressed. An unregulated explosion in effector T-cell production thus often causes various kinds of autoimmune diseases [13-15,41,46].

Figure 4. Time evolution of immune response. The dynamical variation of pathogens and effector T-cells are calculated both (a) in absence and (b) in presence ofoptimal level ofvitamin-D. In both cases adaptive response sets in after few hours of the pathogenic incursion. Pathogen annihilation process starts after recognition of the pathogen by APCs and subsequent APC mediated T-cell activation. (a) In absence of vitamin-D, only the weak, inhibitory control of regulatory T-cells on the production of effector T-cells results in an elevated steady state concentration of TEff cells. This may increase the risk of autoimmune diseases. (b) The presence of vitamin-D exerts greater control over the production of TEff cells. Upon pathogen load clearance, the number of effector T-cells also becomes significantly suppressed. This may decrease the risk of autoimmune diseases. At the same time, note the re-entrant possibility of pathogen which up to certain level assists to build an adaptive tolerance of the immune system. (In both cases kinp, krese are so chosen that they remain in the bistable region (kin, = 10, krese = 100) as shown in Figure 3. The other rate constants considered here are similar to Figure 2.
After clearance of the pathogen load a new steady state is developed after long time (around 10-20 days or so). Once the pathogen load is clear, the body creates an immunological memory of that specific pathogen, which corresponds to a steady state value of effector T-cells. It might particularly be useful if the same pathogen strikes again. Then the immune response would be rapid and more effective in suppression oftargeted pathogens [47]. The result also signifies that, in absence of vitamin-D, the steady state value ofeffector T-cells reaches closer to the limit where there is a high risk of developing autoimmune disorder.
In the presence of standard level of vitamin-D. Vitamin-D plays a crucial role on the onset ofadaptive response. It modifies the scenario as explained in the last subsection. Once the T-effector population starts increasing, production of active vitamin D [D] is upregulated. This, in turn, upregulates regulatory T-cell growth, which along with [D] regulate the aggressive, inflammatory responses exerted by T-effector cells, restoring control in the body. In this process, effector T-cell population relaxes at a much faster rate (Figure 4(b)). As a result, rate of pathogen killing is also significantly suppressed. In our model vitamin-D activation
starts to grow rapidly within day 1 or 2. Hence we find that active vitamin-D does not play any substantial role in the very initial stage of pathogenic growth or decay. In presence of vitamin-D we observe a re-entrant possibility of pathogen which may be sustained for long time [12].
To compensate between effective clearance of pathogen load and the risk of autoimmune diseases, vitamin-D plays role as a negative catalyst in effector T-cells production. As a consequence, in presence ofvitamin-D pathogen annihilation rate at longer time is also suppressed. Hence, we find from our analyses that, under optimal regulation of vitamin-D, to minimize the risk of autoimmune diseases, our immune system is bound to tolerate some amount of pathogen. In fact, a healthy immune system is always characterized by the tolerance to a certain extent of pathogenic stimulation. The fact, that vitamin-D has been implicated as an important factor in several different autoimmune diseases by preserving bistability, suggests its efficiency in controlling body's self-tolerance [48-50]. It is worth mentioning here that experimental observations related to the adoptive transfer of tolerance also supports the emergence of such bi-stability where the balanced co-existence of strong and weakly regulated immune responses is preserved in the system [51].
Steady state analysis and optimal vitamin-D
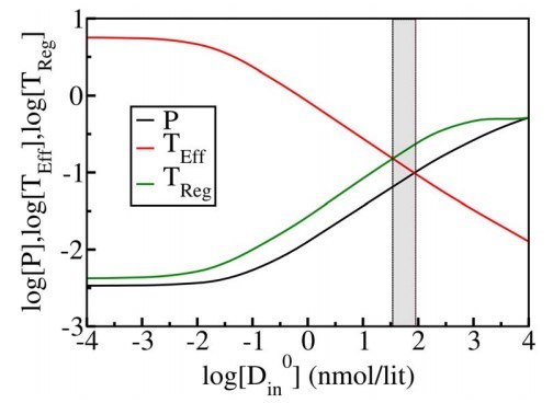
One important detail that needs to be considered here is the emergence of the new steady state in presence of vitamin-D with its tightly controlled homeostasis. To understand the relevance of vitamin-D in the above response, different initial concentrations of vitamin-D, [Din0] were considered. We have thus considered various initial concentrations of vitamin-D ranging from 10 4 to 10 nmol/lit. The variation of T-cell levels and pathogen levels in the newly established steady state were obtained and these concentrations are plotted versus log [Din0]in Figure 5.To measure an optimal vitamin-D range we need to control the immune-regulation as well as pathogenic resistance as these are intimately connected. It is important to note that we cannot establish such a strong regulation by vitamin-D beyond which a large pathogenic tolerance is developed by the immune system and pathogen clearance by effector T-cells subtly fails.
The effects of local conversion of inactive 25(OH)D3 to active 1,25(OH)2D3 mediated by DCs on subsequent T-cell responses were measured by flow cytometry and the results were extensively analyzed by Jeffery et al. [52]. They studied how this conversion can promote an anti-inflammatory T-cell phenotype (such as CTLA-4) and inhibit the inflammatory expression of IL-17, IFN-y, and IL-21. The dose dependent variations ofsuch T-cell responses were shown in Fig. 2.(F) in the referred article [52]. The trend of responsive changes along with the concentration of 25(OH)D3 matches fairly well with the results depicted in Figure 5 that we obtain from our model calculation. Following their cue, in the present study we also consider the circulating inactive form of vitamin D (25(OH)D3) as an efficient marker of vitamin D status. Our dose dependent curves also match with the experimental findings of Correale et al. [25].
For the above data set, we find that the optimal vitamin-D level lies in the 50-100 nmol/lit range where both pathogen and effector T-cell levels remain at reasonably low risk range. Recently a large number of epidemiological studies and an U.S. Institute of medicine committee reported that a serum 25-hydroxyvitamin-D level of >20 ng/mL (50 nmol/L) is desirable for bone and overall health [53-55]. Those studies recommend both the upper and the lower limits of safe vitamin-D intake. High IgE levels were seen at very low 25-hydroxyvitamin-D3 (<10 ng/mL or, <25 nmol/L)

Figure 5. Steady state value analyses as a function of log (initial vitamin-D level). Evaluation of steady state regulation in terms of pathogen [P], effector T-cell [TEff], and regulatory T-cell [TReg] concentrations at different initial intake of vitamin-D. Around the vitamin-D concentration value of 50 nmol/lit, TEff concentration falls below the concentration value of TReg to establish a strong regulation that is necessary for the prevention of autoimmune diseases. The steady state value of pathogens starts increasing even exceeding the value of TEff beyond [Din0] = 100 nmol/lit. We indicate (with a gray limit bar) the optimal vitamin-D range from 50 to 100 nmol/lit where both pathogen and effector T-cell level remain at reasonably low value. Vitamin-D level beyond 100 nmol/lit corresponds to an alarming concentration compared to the standard vitamin-D limit. and at very high 25-hydroxyvitamin-D3 (> 135 nmol/L) levels [54].
Another important study found that high 25(OH)D3 concentration (greater or = 100 nmol/L) often leads a statistically significant (2-fold) enhancement of pancreatic cancer risk [55,56]. Therefore, the present study provides an estimate in the right range of optimal vitamin-D concentration.
Sensitivity towards vitamin-D associated parameter set
To investigate both the robustness and the sensitivity ofvitamin-D related rate constants, it is essential to scrutinize their effects in a wide ranging scale. An additional reason to substantiate the sensitivity is that these values vary from system to system (here person to person) and the values can fluctuate even for the same person depending on various conditions. Though the precise number of the rate constants may vary, the effective trend ought to preserve within a certain range.
As both the active APC and effector T-cells are modulated by the impact of active vitamin-D we have investigated the outcome of different possibilities of the combination of kaD„ and keD* (defined in Table 1 ). From Figure 5 it is evident that to obtain a safe boundary of vitamin-D impact we need to efficiently check both effector T-cell concentration as well as pathogen concentration. Here we have scanned the parameter space to distinguish different zones based on the population of pathogen and effector T-cells. However at high vitamin-D concentrations, pathogen growth may become enhanced due to the suppression of effector T-cell production. Here the parameter space (logkaDt,logkeDt) suggests that pathogenic and effector T-cell profile is less sensitive towards keD. It rather shows a significant variation with the change of kaD„. This analysis shows two distinct regions: (i) In the region of low vitamin-D impact (kaD» * 10 —8 — 10—4) we obtain a pathogen defeated zone where pathogen concentration is found to be negligible but at the same time in the range of kaD 10 —8 — 10—7 there exists an effector T-cell flare-up zone. (ii) In the region of very high vitamin-D impact (kaD * 10— 1 — 102) we obtain an effector T-cell defeated zone. Here we find a pathogen relapsing zone where the steady state concentration of pathogen remains significantly large when the system is hyper regulated by vitamin-D. The range between kaD, *10—7 —10—4 and also keD, * 10—6 —10—2 is the optimal parameter space for active vitamin-D impact to avoid high pathogenic and effector T-cell growth (see Figure 6).
Discussion and Summary of Results
Recent experimental studies have provided a large number of quantitative information on the immuomodulatory functions of vitamin-D and established those functions beyond its well-stated role in calcium metabolism [19-25]. To understand these recent experiments, we developed a theoretical coarse-grained model based on this interaction network. The network dynamically connects different immune components that are experimentally found to be involved in the vitamin-D regulated immune responses. The formulated kinetic scheme describes the time evolution of these components that mainly include pathogen, vitamin-D, APCs, effector T-cells, and regulatory T-cells. Here we summarize the pertinent observations that emerged from the kinetic network model.
(i) The steady state analyses of the present kinetic scheme establish the three regulation limits: weak, moderate and strong, both in absence and presence of vitamin-D. The phase diagrams of boundary separated three immune regulation regions show that in presence of optimal vitamin-D, strong regulatory region becomes broad and the moderate (or, bistable) regulatory region becomes more extended. The weak regulatory region shifts towards higher values of effector T-cell mediated APC activation rate (krese) and becomes more constricted than what is found in the absence of vitamin-D. This investigation offers a semi-quantitative picture supporting several experimental and clinical observations that show how vitamin-D regulates the immune system by restricting its function within strong to moderate regulation limits significantly reducing the risk of autoimmune diseases [11-15,46].
(ii) The analyses of time evolution of immunological components explicitly show the attainment of a new steady state in the presence of optimal level of vitamin-D. The dynamical characterization of the involved components reveals that the recognition of the pathogenic growth requires a few hours and this fact is in general agreement with most experimental results [44,45]. After the activation of vitamin-D, the excess population of effector T-cells relaxes to a comparatively lower value (as and when we include the effects of optimal vitamin-D). But such downward regulation for the prevention of autoimmune diseases is at the cost of re-entrant possibilities, to certain extent, of pathogen which again enhances the tolerance capability of a healthy immune system. The importance of vitamin-D in control of tolerance has also been experimentally verified.
(iii) Quantitative predictions of the present model are in good agreement with several recent experimental studies and clinical observations [12,25,44-50,52-58]. We have attempted to quantify how much vitamin-D is needed to resist autoimmunity and why? Our dose dependent variations in T-cell responses along with the concentration of vitamin-D seem to have an excellent correlation with experimental findings of Jeffery et al. and Correale et al. [52,25]. We additionally find that a safe range of vitamin-D is essentially determined by the interrelatedness of pathogen, effector T-cells and regulatory T-cells. The range is restricted by both hyper-regulation and effector T-cell inflammation. Very recent randomized controlled trials (RCTs) suggest that there should be an element of caution about recommending high serum 25(OH)D3 concentrations as routine clinical practice and that should spread among the entire population [56-58]. This suggests that greater collaboration efforts and both experimental and theoretical initiatives are required.
(iv) The regulatory impact of active vitamin-D over APC and effector T-cells is investigated here by steady state analysis. We find that the nonlinear regulation of vitamin-D is

Figure 6. Impact of active vitamin-D over the steady state profiles of pathogen, [P] and effector T-cell, [TEff]. (a) We vary simultaneously the impact of active vitamin -D ([D]) over APCs (kaDt) and effector T-cells (keDt). We find different regions: (i) At low vitamin-D impact (kaD * 10—8 — 10—4) we obtain pathogen defeated zone but TEff flare-up zone (kaD, * 10—8 —10—7). (ii) At high vitamin-D impact (kaD* * 10—1 —102) steady state concentration of pathogen largely increases which distinguished as pathogen relapsing zone. In pathogen relapsing zone, however we find TEff defeated zone. The basic value parameters are taken as kin, = 10, krese= 102. Other parameter values are taken from Table 1.
Table 1. Basic parameter values (*time duration is taken as "days").

sensitive towards APC functioning. This particular impact parameter largely controls the emergence and the range of bistability. Early experimental studies also report such markedly affected DC maturation and activation profile in presence of vitamin-D [21].
As we mentioned before, the steady state analysis of the proposed master equations reveals intricate relations between vitamin-D levels and T-regulatory cells maintained by homeosta-sis. These relations suggest that at homeostasis, lower levels of vitamin-D correspond to a lower population of T-regulatory cells, which again suggests that once a pathogen enters the body, the nature of the immune response is expected to be less regulatory and hence more inflammatory or aggressive. In addition, in a weak regulation limit we have studied the temporal progression of both regulatory and effector T-cells. Interestingly, we find coupled oscillatory dynamics of effector T-cells (TEff) and regulatory T-cell (TReg) that begin to develop within 2-5 days and periodically continue. In the presence of pathogen when the system tends towards a slightly weak regulation regime we observe a dynamic cross regulation in the temporal progression of regulatory and effector T-cells population. This is described in Text S2 in File S1and presented in Figure S1 in File S1 [16]. The impact of vitamin-D associated intrinsic oscillatory behavior over effector T-cells could provide a dramatic signature of disease phenotype in clinical therapy [29].
The critical role of the various cells involved in immune response, especially inactive and active vitamin-D concentration could be understood via investigating dynamics of response. We are indeed aware of the fact that quantitative results of in-vivo analysis of the effects of the high dose vitamin D level or its any steroid analogue are somewhat ambiguous. The consequences of both low and very high dose of vitamin D causing fatal diseases are relatively well established. We are also aware of the persisting current dilemma of precisely defining the vitamin D insufficiency and difficulty in identifying the safe range. Our model calculation efficiently quantifies that there exists a delicate window of concentrations of vitamin-D which would be critical in maintaining an appropriate response to a pathogen. Extremely low levels of vitamin-D could lead to increased risk of autoimmune responses and extremely high levels would suggest an extremely tolerant response, which could increase the risk of tumors and cancerous cell growth and various allergic responses stimulated by the elevated IgE concentrations [57,58].
It is important to note that two enzymes CYP27B1 and CYP24A1 and the population of VDR play important role in balancing several immunological responses. Defect in or unavailability of any of these proteins will greatly perturb the whole immunological network. A series of D*-VDR mediated processes that have enormous consequences have not been fully understood yet. Malfunction of these enzymes (such as: CYP27B1 and CYP24A1) can also reflect a deeper problem (such a genetic mutations) that is difficult to rectify [59,60]. It clearly needs a more quantitative analyses.
It is worth mentioning here that the activation of a naive T-cell into an effector or regulatory T-cell is also a complex process. This begins with the scanning of the surface of APCs in the lymph nodes for the MHC class II type molecules by the naive T-cells. If a particular epitope is recognized and co-stimulatory molecules are present, then the activation process is initiated [61,62]. This can now be understood via an energy landscape analysis. The process of successful activation can be thought of as the T-cell negotiating a barrier in the energy landscape. This can be brought about through either a single successful contact with an APC or multiple contacts ifthe second or later contact occurs within a finite time. If the T-cell is above the seperatrix in the energy landscape then the probability of a successful activation is higher which is only present for a finite time after the previous excitation. The above picture is similar to the immunological studies carried out by Hong et al. [63] and Das et al. [62] and the enzyme catalysis model proposed by Min, Xie and Bagchi earlier [64]. However, to make the present model tractable, we had to ignore such complexity of T-cell activation.
The master equation approach adopted here has been solved both by a deterministic and a stochastic approach, given the initial values of the parameters and the fluxes. Within a biological cell, there can always be large fluctuations due to environmental factors or other causes [65,66]. Such fluctuations can induce the crossover from weak regulation to strong regulation. This is an issue that deserves further study.
Although our model is coarse-grained and the evaluated results are semi-quantitative due to absence of some kinetic parameters, this study, perhaps, constitutes the first theoretical investigation of the role of vitamin-D in immune regulation. Despite its limitations, we believe that the kinetic interplay between pathogen, effector T-cells and the unavoidable participation ofvitamin-D to remain the basic ingredients in the upcoming studies.
In future, we plan to extend our system of equations to include effects of drugs such as immune suppressants (e.g., glucocorticoids) that introduce a further competition in the reaction network [13].
Methods
Coarse-grained reaction network model development
In order to describe the complex interplay among different types of immune cells, pathogens and the modulatory role of vitamin-D, first we need to develop a simple coarse-grained approach that can both be solved and understood. The complexity arises because of the large number of biochemical machineries in the human body that are strongly coupled with each other [67,68]. Understanding the relationship between these different machineries involving different types of cell may ultimately require detailing at the molecular level. A simpler, albeit cruder version is proposed here that accounts for some of the complexities present at the molecular level by coarse-graining them at the cellular level. A pictorial description of initial complex network and the associated coarse-grained network are demonstrated in the Figure S2 in File S1 and Figure S3 in File S1 accordingly [16]. With this goal in mind, we perform model analyses based on T-cell activation, deactivation and regulation, following some experimental results discussed below.
(i) Myeloid dendritic cells (also we call them as antigen presenting cell (APC)) present in different organs, are the key players involved in triggering the onset of an adaptive immune response. Upon maturation and pathogen presentation, these dendritic cells serve to activate naive T-cells into effector T-cells. In contrast, immature dendritic cells upon pathogen contact convert naive T-cells into regulatory T-cells in the absence of maturation signal [19,20].
(ii) Effector T-cells release cytokines which upregulate the activity of 1 a-hydroxylase enzyme (CYP27B1), which in turn, induces the conversion of active vitamin-D from its inactive form. It is worth mentioning here the extensive experimental study by Correale et al. which reported that CD4+ T-cells are capable of metabolizing 25(OH)-vitamin D to 1,25 (OH)2-vitamin D, which again inhibits T-cell function [25].
(iii) Active form of vitamin-D, 1, 25(OH)2D3 [D*] modulates the immune response through the inhibition of DC differentiation and maturation into potent APC [21].
(iv) Increased production of [D*], directly inhibits effector T-cell [TEff] production and upregulates CD4+/CD25+/ FoxP3+ regulatory T-cell [TReg] response. These TReg cells also efficiently inhibit TEff cells proliferation [22-25].
Coarse-graining of the interaction network is accomplished through making a few simplifying observations and vital assumptions. They are as follows:
(a) Th1, Th2 and Th17 cells are grouped together as effector T-cells. The detailed description of these T-cells is depicted in Text S1 in File S1 [16].
(b) It is well established that the primary molecular action of 1,25(OH)2D3 is to initiate gene transcription by binding to VDR which is a member of the steroid hormone receptor superfamily of ligand-activated transcription factors. VDR therefore is an important factor in 1,25(OH)2 D3 mediated functions. More detailed information about VDR can be found in ref 69 [69].
On the contrary, there are reports that 1,25(OH)2D3 also has rapid actions that are not essentially mediated through transcrip-tional events involving VDR. They are in fact membrane initiated actions [70]. In the present model we have not included the effect of VDR. We have only considered the production of active vitamin-D from its inactive form upon T-cell activation.
(a) In circulation, the inactive form of vitamin-D, 25(OH)D3,is generally used as an indication of vitamin-D status. However, in dendritic cells (DC) use of this precursor depends on its uptake by cells and subsequent conversion by the enzyme CYP27B1 into active [D] [71]. [D] has a tight control over the homeostatic production rate that auto-regulates its production by directly upregulating the activity of the P450 cytochrome CYP24A1. In our model we have considered the steady state rate of inactive vitamin-D that found from experimental and clinical measurements while keeping the concentration of these enzymes as the implicit factors.
In the present context we consider the following set ofbiological transformations. Most of them are catalytic reaction in terms of up-regulation or down-regulation.
(1) The primary step is the annihilation of pathogen by effector T-cell.
Pathogen (P) + Effector T-cell (TEff) ?Pkiiied + TEff (i)
(2) Production of effector T-cell requires the presence of active antigen presenting cell (APC). Active APC, on the other hand is produced by the following sequence of reactions. 1st resting APC forms through the interaction between inactive APC and pathogen.
Inactive APC(Ain) Z P?Resting APC (ARes) Z P (ii)
AAct Z TReg ? ARes Z TReg AActZD?AResZD
(3) Further pathogenic contact and/or effector T-cell contact promotes the resting APC to turn out to be active APC.
ARes ZP?AActZP ARes Z TEff ? AAct Z TEff
(4) Then effector T-cell is produced by the interaction between precursor/naive T-cell with active APC.
Naive T-cell (TNa) Z Active APC (AAct) ?TEff Z AAct (iv)
(5) Simultaneously inactive vitamin-D is transformed into active vitamin-D upon effector T-cell contact.
Inactive Vitamin — D(Din)ZTEff -Active Vitamin — D(D*) ZTEff (v)
Master equations quantifying the reaction network dynamics
Now, some important further assumptions before we set about writing the master equations:
(i) For Pathogen, inactive APC and naive T-cells, each has a birth rate which includes influx and proliferation rates and a death rate similar to decay which incorporates natural cell death. The death rate of each component is linear with its concentration.
(ii) The transition probabilities are all assumed to be constant with time but may vary from system to system (i.e. here person to person) according to the condition applied.
(iii) To scale the unit, here we assume that in absence of pathogen, hundred (average number of T-cell present in hundred nano-liter blood sample) precursor T-cells preexist.
The above annihilation, recombination and catalytic reactions lead to the following set of coupled master equations. The equations are size-extensive. In fact the size extensibility is the critical robustness of our model.
dP dt = sP — mPP — kP TEffP
(1)
(6) Resting T-cells and vitamin-D, both can initiate the formation of regulatory T-cell from naive T-cell.
dAin dt = SA kinpAinP maAin
(2) Naive T-cell (TNa)ZResting APC (ARes)- TRegZARes
\ Naive T-cell (TNa)ZActive Viatmin-D (D*)?TRegZD=
(7) Both regulatory T-cell and active vitamin-D can suppress the production ofeffector T-cell to control the hyperactivity ofthe immune system.
dt
= kinpAinPZ kay pRegAAct Z kaD* AActD
(3)
— kreseARes TEff — kinpAResP — maARes
[ t i t . t killed i t~
TEffZ TReg- TEff Z TReg 1 TEff ZD?TEffkilledZD
dt
= kyeseARes TEff Z knpAResP — kay pRegAAct
(4) — kaD* AActD* —maAj
(8) The cycle is completed by the transformation ofactive APC to resting again by the same duo, TReg and D* which work at
tandem.
= Sp —kanAActTNa—kyesnAResTNa—knD* TNaD* —mnTffa (5)
dTEff
dt
= kanAAct TNa — ker TEff TReg — keD* TEffD* — me TEff
(6) dTReg
dt
= kresnARes TNa Z knD* TNaD* — mr TReg
(7) dt =sD keDTEffDin mDDin
(8) dD
= keD TEff Din — mD*D =
(9)
Where the terms signify as follows:
kij R Transition probability rates,
Sk R Production rate by body of component k,
mi R Overall death rate of component i,
P R Concentration of Pathogen,
Ain R Concentration of inactive antigen presenting cells without pathogen capture,
ARes R Concentration of resting antigen presenting cells after pathogen capture,
AAct R Concentration ofactivated antigen presenting cells after pathogen recognition and effector T-cell contact.
TNa R Concentration of naive T-cells,
TEff R Concentration of effector T-cells,
TReg R Concentration of regulatory T-cells,
Din R Concentration of Inactive form of Vitamin-D3 (1, 25(OH)D) in the body
D* R Concentration of active form of Vitamin-D3 (1,25(OH)2D) in the body
That is, we have used the same letter to denote both the species and its concentration. This should not cause any confusion.
System parameters and data analysis
A set of nine coupled differential equations is difficult to solve analytically. We obtain the time dependent concentrations of all the components involved in the scheme by employing the well-known stochastic simulation analysis proposed by Gillespie [38]. Both the single molecular as well as ensemble enzyme catalysis have been studied following this method. All the results presented in this article are derived using stochastic simulation method. However, we have also verified the consistency of each result by using the deterministic approach which is easier to implement.
Here we have considered one hundred nano-litre volume of blood sample. In the absence of pathogen this blood sample effectively contains the steady state concentration of all the precursor cells [72-74]. Since all the reactions are bimolecular, the volume dependence of the reaction is expected to be an issue. Thus, we have kept fixed the box volume to one hundred nano-liter and all the rate constants are in the unit of per day. We have closely followed the type of formalism developed in Ref. 30.
Furthermore, we have assumed that in the absence of antigen, hundred precursor T-cells can pre-exist within this fixed volume (100 nano-litre), in accord with known experimental values [72,73]. These T-cells have a 1% turnover per day. Concentrations of pathogens and APCs are also normalized. The production rate and death rate of these components are so assigned that their steady state values become one. Other associated probabilities/ rate constants of different reaction sets are used from early papers in this field [30]. However, for vitamin D, the production and mortality rate constants are calculated from their steady state concentration. Other vitamin D related rate constants are treated as variable in our study, as we have no experimental data available on them. In reality, such model requires to estimate several rate parameters values. Accurate values ofsome ofthese rate constants are unfortunately very hard to determine. Such rate parameters depend on several factors and differ from species to species. So they do not have any specific standard value. As for example, it would be quite difficult to determine the mortality rate of effector and regulatory T-cell as in the present model these rate parameters also include the proliferation rate along with their death rate. Moreover the pathogenic stimulation could be of various ranges according to their strength and pattern.
Hence the primary difficulty ofpredictive theoretical research in this area is the absence of accurate values of rate constants/ transition probabilities. In the present study we have employed the following approach to circumvent this difficulty. (i) In some cases where values could be estimated from literature, we have used the known value and varied it over a range to check the sensitivity of results. (ii) In a few cases, order of magnitude estimates for values were employed [30]. We also focused on exploring the phase diagram by varying some key rate parameters that are not known and looked for the optimum region where results are sensitive to the parameter space (given experimental and assumed values of the rate constants and concentrations). To this end, we have varied the rate constants over a significantly wide range. In addition, the concentration of precursor elements was normalized, so as to reflect manifold change in the production level. Taking typical values as mentioned below (see Table 1 ), the time evaluation of the system and other analyses are performed in the present work. Here we have used the standard definition of steady state, i.e.; when the concentration of different species is invariant with time (dc/dt = 0). In particular, for stochastic simulation, a steady state is assumed to reach when the concentration of a species fluctuates around a mean value without any noticeable drift at long time.
Supporting Information
File S1 Contains Text S1 that describes process of T-cell activation and introduction of effector and regulatory T-cells, Text S2 that describes time-dependent oscillatory behavior of antigen-specific effector (TEff) and regulatory (TReg) T cells, Figure S1 that shows impact of vitamin-D over effector and regulatory T-cell profile in presence of pathogen, Figure S2 that shows a complex representation of adaptive immune response and Figure S3 that shows a coarse-grained network of Figure S2.
Acknowledgments
It is a pleasure to thank Prof. Anjali A. Karande and Mr. Arka Baksi for many helpful discussions and suggestions. We also thank Dr. Mantu Santra, Dr. Biman Jana, Mr. Kushal Bagchi, Ms. Gauri Ranadive and Ms. Preeti Garai for their constant support in this project.
Author Contributions
Conceived and designed the experiments: SR. Performed the experiments: SR KS. Analyzed the data: SR BB. Contributed reagents/materials/
References in PDF at the bottom of this page
See also VitaminDWiki
Autoimmune category overview with associated searches
Autoimmunity, T Cells and vitamin D: A chemical network analysis – May 2013 previous paper by same authors
The TOP articles in Autoimmune and Vitamin D are listed here:
{category}