Table of contents
- Vitamin D supplementation and incident dementia: Effects of sex, APOE, and baseline cognitive status
- VitaminDWiki - Dementia is associated with low vitamin D - many studies 60 as of Aug 2024
- VitaminDWiki – Cognitive category contains
- There have been
12838 visits to this page
Vitamin D supplementation and incident dementia: Effects of sex, APOE, and baseline cognitive status
Alzheimer's Dement. 2023;15:e12404. https://doi.org/10.1002/dad2.12404
Maryam Ghahremani1,2 I Eric E. Smith2,3,4 I Hung-Yu Chen1,2 Zahra Goodarzi2,3,6 I Zahinoor Ismail1,2,3,4,5,6 ismailz at ucalgary.ca; z.ismail at exeter.ac.uk Byron Creese5
1 Department of Psychiatry, Cumming School of Medicine, University of Calgary, Calgary, Alberta, Canada
2 Hotchkiss Brain Institute, Cumming School of Medicine, University of Calgary, Calgary, Alberta, Canada
3 Department of Community Health Sciences, University of Calgary, Calgary, Alberta Canada
4 Department of Clinical Neurosciences, Cumming School of Medicine, University of Calgary, Calgary, Alberta,Canada
5 College of Medicine and Health, University of Exeter Medical School, University of Exeter, Exeter, UK
6 O'Brien Institute of Public Health, University of Calgary, Calgary, Alberta, CanadaDementia 40 percent less-likely in seniors supplementing with Vitamin D - VitaminDWiki summary
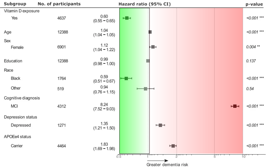
Introduction: Despite the association of vitamin D deficiency with incident dementia, the role of supplementation is unclear. We prospectively explored associations between vitamin D supplementation and incident dementia in 12,388 dementia-free persons from the National Alzheimer's Coordinating Center.
Methods: Baseline exposure to vitamin D was considered D+; no exposure prior to dementia onset was considered D-. Kaplan-Meier curves compared dementiafree survival between groups. Cox models assessed dementia incidence rates across groups, adjusted for age, sex, education, race, cognitive diagnosis, depression, and apolipoprotein E (APOE) z4. Sensitivity analyses examined incidence rates for each vitamin D formulation. Potential interactions between exposure and model covariates were explored.
Results: Across all formulations, vitamin D exposure was associated with significantly longer dementia-free survival and lower dementia incidence rate than no exposure (hazard ratio = 0.60, 95% confidence interval: 0.55-0.65). The effect of vitamin D on incidence rate differed significantly across the strata of sex, cognitive status, and APOE z4 status.
Discussion: Vitamin D may be a potential agent for dementia prevention.
 Download the PDF from VitaminDWiki
VitaminDWiki - Dementia is associated with low vitamin D - many studies 60 as of Aug 2024
VitaminDWiki – Cognitive category contains
Very brief summary of Cognitive decline
Treatment : Vitamin D intervention slows or stops progression
Prevention : Many observational studies - perhaps Vitamin D prevents
Omega-3 both prevents and treats cognition
Wonder the benefits if both Vitamin D AND Omega-3 were to be used
Dementia page - 50 items410 items in Cognition category see also Overview Alzheimer's-Cognition and Vitamin D
Studies in both categories of Cognition and:
Overview Parkinson's and Vitamin D
Cardiovascular (9 studies), Genetics ( 9 studies), Vitamin D Receptor ( 17 studies), Omega-3 ( 54 studies), Intervention ( 20 studies), Meta-analyses ( 22 studies), Depression ( 28 studies), Parkinson's ( 30 studies)
Click here for detailsPoor cognition 26 percent more likely if low Vitamin D (29 studies) – meta-analysis July 2017
Every schizophrenia measure was improved when vitamin D levels were normalized – June 2021
Cognitive Impairment and Dementia often associated with low Vitamin D – April 2020
IQ levels around the world are falling (perhaps lower Vitamin D, Iodine, or Omega-3)
Search VitaminDWiki for "WHITE MATTER" 325 items as of March 2023Types of evidence that Vitamin D helps brain problems - 2014
There have been
12838 visits to this page
Dementia risks reduced by Vitamin D – March 2023(Cached) Printer Friendly Follow this page for updates8907 visitors, last modified 24 Aug, 2024, This page is in the following categories (# of items in each category)Attached files
ID Name Uploaded Size Downloads 21624 Risks of Dementia reduced by D.webp admin 24 Aug, 2024 49.47 Kb 103 21623 Dementia HR.png admin 24 Aug, 2024 109.89 Kb 117 21622 Dementia some D, no D.webp admin 24 Aug, 2024 15.95 Kb 122 19309 Dementia 2023.jpg admin 03 Mar, 2023 32.65 Kb 289 19308 Dementia D.pdf admin 03 Mar, 2023 1,018.50 Kb 204
- There have been